1. Найти закон распределения указанной дискретной CB X и ее функцию распределения F(x). Вычислить математическое ожидание M(X), дисперсию D(X) и среднее квадратичное отклонение σ(X). Построить график функции распределения F(x)
1.9. Вероятность сдачи данного экзамена для каждого из четырех студентов равна 0,8; СВ X – число студентов, сдавших экзамен.
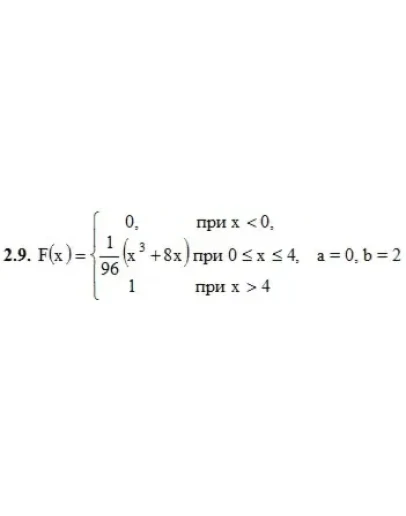
2. Дана функция распределения F(х) СВ X. Найти плотность распределения вероятностей f(x), математическое ожидание М(X), дисперсию D(X) и вероятность попадания СВ X на отрезок [а; b]. Построить графики функций F(х) и f(x).
3. Решить следующие задачи.
3.9. Детали, выпускаемые цехом, имеют диаметры, распределенные по нормальному закону с математическим ожиданием, равным 5 см, и дисперсией, равной 0,81 см2. Найти вероятность того, что диаметр наугад взятой детали - от 4 до 7 см.
4. Решить следующие задачи.
4.9. Сколько надо произвести опытов, чтобы с вероятностью 0,9 утверждать, что частота интересующего нас события будет отличаться от вероятности появления этого события, равной 0,4, не более чем на 0,1?
1.9. Вероятность сдачи данного экзамена для каждого из четырех студентов равна 0,8; СВ X – число студентов, сдавших экзамен.
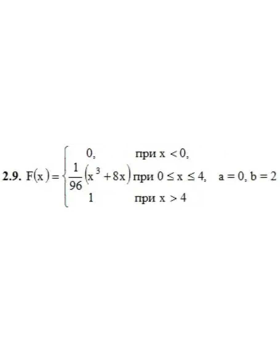
2. Дана функция распределения F(х) СВ X. Найти плотность распределения вероятностей f(x), математическое ожидание М(X), дисперсию D(X) и вероятность попадания СВ X на отрезок [а; b]. Построить графики функций F(х) и f(x).
3. Решить следующие задачи.
3.9. Детали, выпускаемые цехом, имеют диаметры, распределенные по нормальному закону с математическим ожиданием, равным 5 см, и дисперсией, равной 0,81 см2. Найти вероятность того, что диаметр наугад взятой детали - от 4 до 7 см.
4. Решить следующие задачи.
4.9. Сколько надо произвести опытов, чтобы с вероятностью 0,9 утверждать, что частота интересующего нас события будет отличаться от вероятности появления этого события, равной 0,4, не более чем на 0,1?




