• ИДЗ 5.2 Вариант 1. Решения Рябушко А.П.
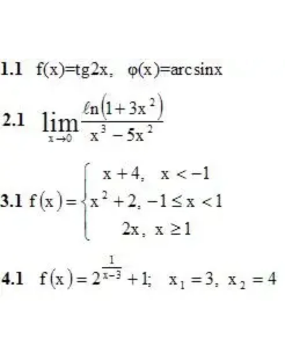
1. Доказать, что функции f(x) и φ(x) при x→0 являются бесконечно малыми одного порядка малости.
2. Найти пределы, используя эквивалентные бесконечно малые функции.
3. Исследовать данные функции на непрерывность и построить их графики.
4. Исследовать данные функции на непрерывность в указанных точках

Написать отзыв

Примечание: HTML разметка не поддерживается! Используйте обычный текст.
   Плохо           Хорошо

ИДЗ 5.2 Вариант 1. Решения Рябушко А.П.

  • Продавец: Massimo86
  • Модель: 1664136
  • Наличие: Есть в наличии
  • 80р.

Рекомендуемые