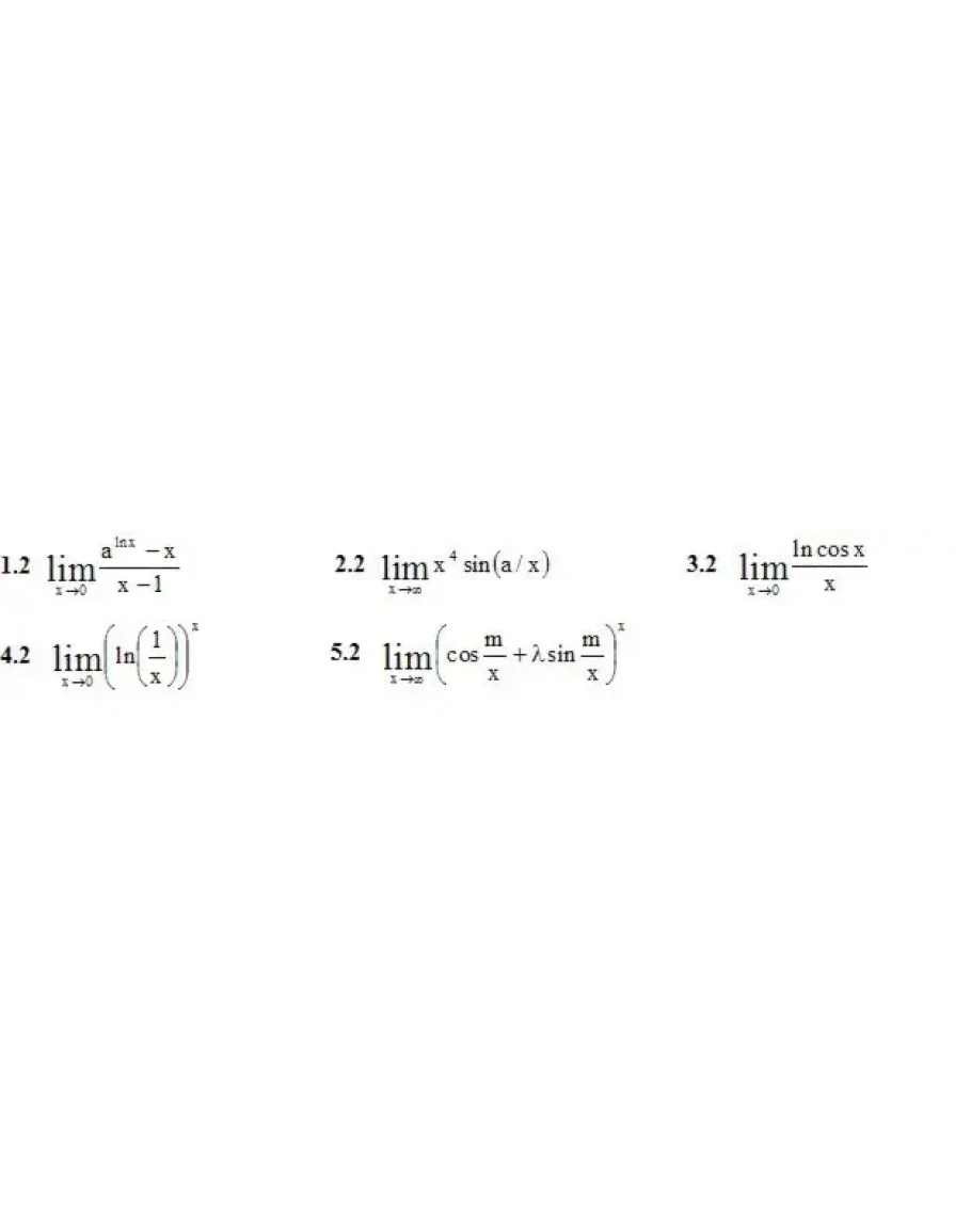
1. Найтиуказанные пределы, используя правило Лопиталя. (1-5)
2. С помощьюдифференциала приближенно вычислить данные величины и оценить допущенную
относительную погрешность (с точностью до двух знаков после запятой). (1-2)
6.2 3√26,19
7.2 arctg0,95
2. С помощьюдифференциала приближенно вычислить данные величины и оценить допущенную
относительную погрешность (с точностью до двух знаков после запятой). (1-2)
6.2 3√26,19
7.2 arctg0,95




