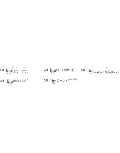
1. Найтиуказанные пределы, используя правило Лопиталя. (1-5)
2. С помощьюдифференциала приближенно вычислить данные величины и оценить допущенную
относительную погрешность (с точностью до двух знаков после запятой). (1-2)
6.8 3√65
7.8 lntg46°
2. С помощьюдифференциала приближенно вычислить данные величины и оценить допущенную
относительную погрешность (с точностью до двух знаков после запятой). (1-2)
6.8 3√65
7.8 lntg46°




