Введение 3
1. Теоретические основы управления трудовой мотивации персонала в системе Таможенных органов Российской Федерации 6
1.1. Понятие, сущность и роль системы управления Трудовой мотивации Таможенного персонала Российской Федерации
1.2. Нормативно-правовая основа формирования положительной мотивации к труду в системе таможенных органов 17
1.3. Формы и методы мотивации и стимулирования персонала 20
Выводы по главе 1 26
2. Анализ системы мотивации и стимулирования в Иркутской Таможне 28
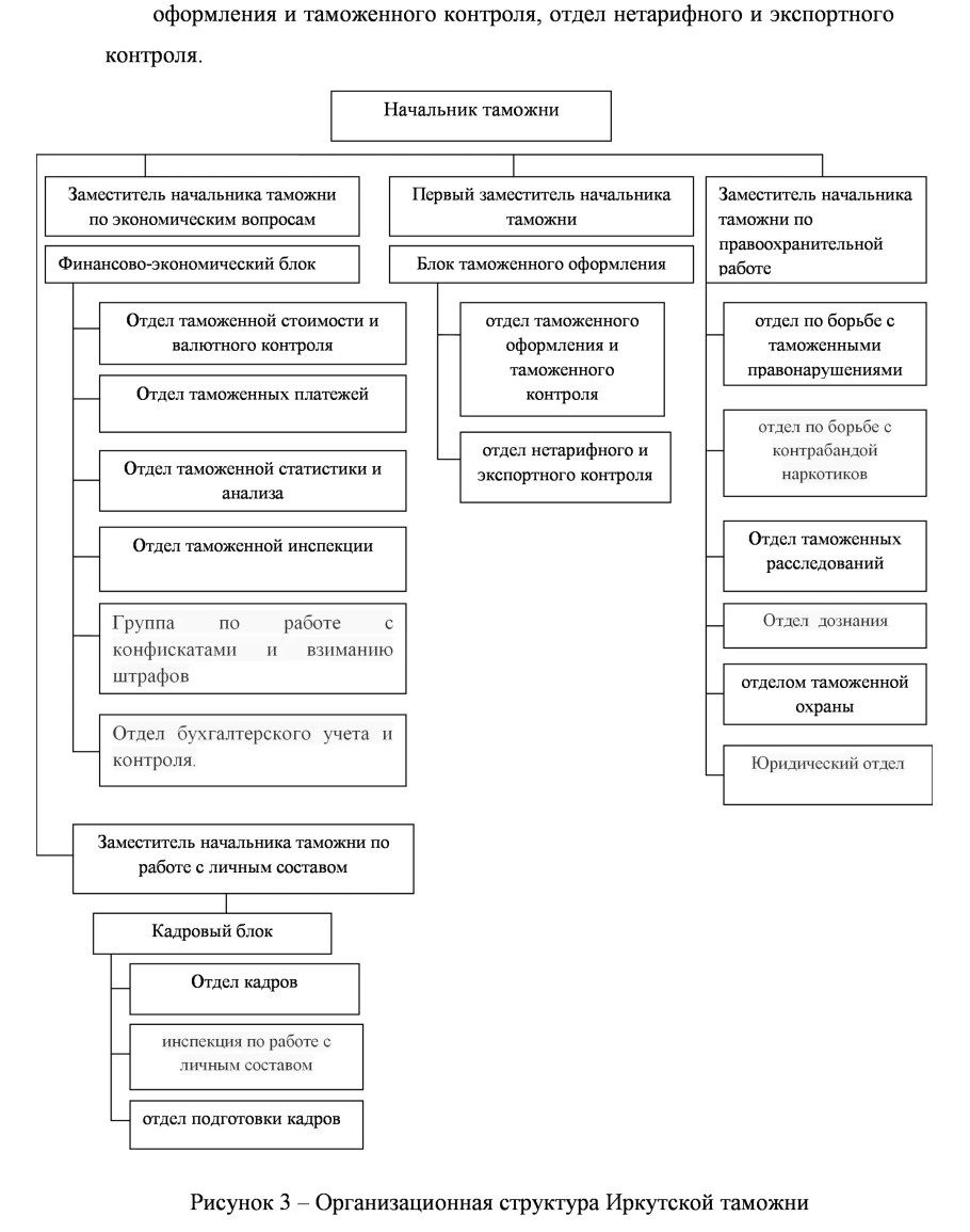
2.1. Краткая организационная характеристика Иркутской Таможни 28
2.2. Организация мотивации и стимулирования труда в Иркутской Таможне 32
2.3. Эффективность мотивации и стимулирования в Иркутской Таможне 36
Выводы по главе 2 39
3. Совершенствование системы мотивации и стимулирования в Иркутской Таможне 41
3.1. Разработка мероприятий 41
3.2. Оценка эффективности предложенных мероприятий 42
Выводы по главе 3 44
Заключение 46
Библиографический список 47
Приложение А - Матрица потребностей, характеристика 51
Приложение Б - Перечень организационных ценностей персонала Иркутской Таможни 52
1. Теоретические основы управления трудовой мотивации персонала в системе Таможенных органов Российской Федерации 6
1.1. Понятие, сущность и роль системы управления Трудовой мотивации Таможенного персонала Российской Федерации
1.2. Нормативно-правовая основа формирования положительной мотивации к труду в системе таможенных органов 17
1.3. Формы и методы мотивации и стимулирования персонала 20
Выводы по главе 1 26
2. Анализ системы мотивации и стимулирования в Иркутской Таможне 28
2.1. Краткая организационная характеристика Иркутской Таможни 28
2.2. Организация мотивации и стимулирования труда в Иркутской Таможне 32
2.3. Эффективность мотивации и стимулирования в Иркутской Таможне 36
Выводы по главе 2 39
3. Совершенствование системы мотивации и стимулирования в Иркутской Таможне 41
3.1. Разработка мероприятий 41
3.2. Оценка эффективности предложенных мероприятий 42
Выводы по главе 3 44
Заключение 46
Библиографический список 47
Приложение А - Матрица потребностей, характеристика 51
Приложение Б - Перечень организационных ценностей персонала Иркутской Таможни 52
Курсовая Управление мотивацией в таможенных органах
- Продавец: ИФЦ Студия
- Модель: 2492904
- Наличие: Есть в наличии
-
385р.









