kircks
Розрахункова з: Диференцальн рвн.(15 завд) НУЛП В-17
Розв'язана розрахункова робота з диференціальних рівнянь. НУЛП. В першому завданні потрібно знайти з..
79р.
Розрахункова з: Диференцальн рвн.(15 завд) НУЛП В-18
Розв'язана розрахункова робота з диференціальних рівнянь. НУЛП. В першому завданні потрібно знайти з..
79р.
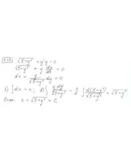
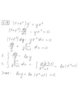
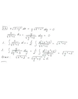
Розрахункова з: Диференцальн рвн.(15 завд) НУЛП В-19
Розв'язана розрахункова робота з диференціальних рівнянь. НУЛП. В першому завданні потрібно знайти з..
79р.
Розрахункова з: Диференцальн рвн.(15 завд) НУЛП В-2
Розв'язана розрахункова робота з диференціальних рівнянь. НУЛП. В першому завданні потрібно знайти з..
79р.
Розрахункова з: Диференцальн рвн.(15 завд) НУЛП В-20
Розв'язана розрахункова робота з диференціальних рівнянь. НУЛП. В першому завданні потрібно знайти з..
79р.
Розрахункова з: Диференцальн рвн.(15 завд) НУЛП В-21
Розв'язана розрахункова робота з диференціальних рівнянь. НУЛП. В першому завданні потрібно знайти з..
79р.
Розрахункова з: Диференцальн рвн.(15 завд) НУЛП В-22
Розв'язана розрахункова робота з диференціальних рівнянь. НУЛП. В першому завданні потрібно знайти з..
79р.
Розрахункова з: Диференцальн рвн.(15 завд) НУЛП В-23
Розв'язана розрахункова робота з диференціальних рівнянь. НУЛП. В першому завданні потрібно знайти з..
79р.
Розрахункова з: Диференцальн рвн.(15 завд) НУЛП В-24
Розв'язана розрахункова робота з диференціальних рівнянь. НУЛП. В першому завданні потрібно знайти з..
79р.
Розрахункова з: Диференцальн рвн.(15 завд) НУЛП В-25
Розв'язана розрахункова робота з диференціальних рівнянь. НУЛП. В першому завданні потрібно знайти з..
79р.
Розрахункова з: Диференцальн рвн.(15 завд) НУЛП В-26
Розв'язана розрахункова робота з диференціальних рівнянь. НУЛП. В першому завданні потрібно знайти з..
79р.
Розрахункова з: Диференцальн рвн.(15 завд) НУЛП В-3
Розв'язана розрахункова робота з диференціальних рівнянь. НУЛП. В першому завданні потрібно знайти з..
79р.
Розрахункова з: Диференцальн рвн.(15 завд) НУЛП В-4
Розв'язана розрахункова робота з диференціальних рівнянь. НУЛП. В першому завданні потрібно знайти з..
79р.
Розрахункова з: Диференцальн рвн.(15 завд) НУЛП В-5
Розв'язана розрахункова робота з диференціальних рівнянь. НУЛП. В першому завданні потрібно знайти з..
79р.
Розрахункова з: Диференцальн рвн.(15 завд) НУЛП В-6
Розв'язана розрахункова робота з диференціальних рівнянь. НУЛП. В першому завданні потрібно знайти з..
79р.














