• ИДЗ 10.2 Вариант 14. Решения Рябушко А.П.
1. Найти уравнения касательной плоскости и нормали к заданной поверхности S в точке M0(x0, y0, z0)
1.14 S: x2 – 2y2 + z2 + xz – 4y = 13, M0(3, 1, 2)

2. Найти вторые частные производные указанных функций. Убедиться в том, что z”xy= z”yx
2.14 z = cos(x2y2 – 5)

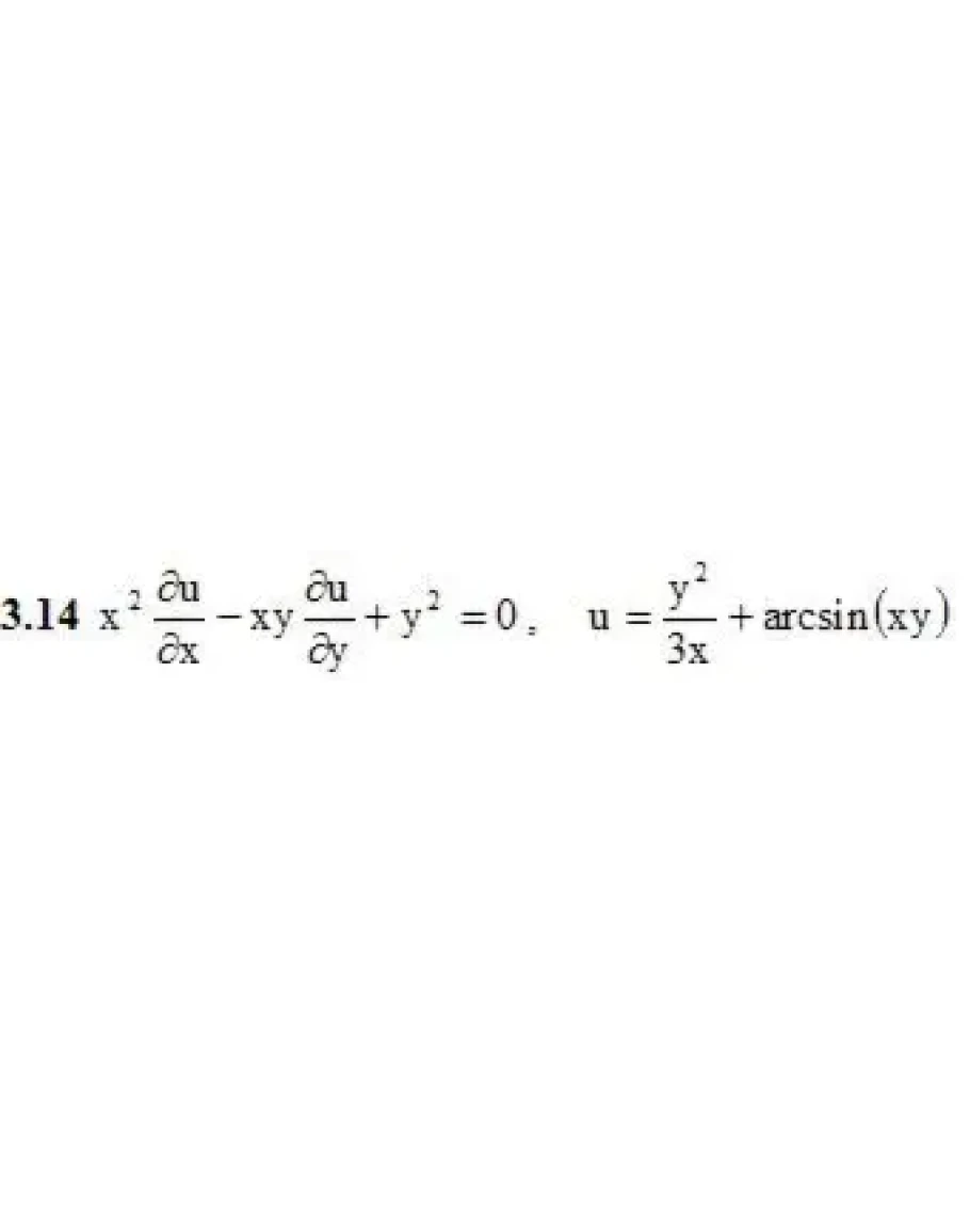
3. Проверить, удовлетворяет ли указанному уравнению данная функция u.
4. Исследовать на экстремум следующие функции.
4.14 z = x3 + y3 – 3xy

5. Найти наибольшее и наименьшее значения функции z=z(x, y) в области D, ограниченной заданными линиями.
5.14 z = 2x2 + 3y2 + 1, D: y=√9-9/4x2 , y = 0

Написать отзыв

Примечание: HTML разметка не поддерживается! Используйте обычный текст.
   Плохо           Хорошо

ИДЗ 10.2 Вариант 14. Решения Рябушко А.П.

  • Продавец: Massimo86
  • Модель: 1693571
  • Наличие: Есть в наличии
  • 110р.

Рекомендуемые