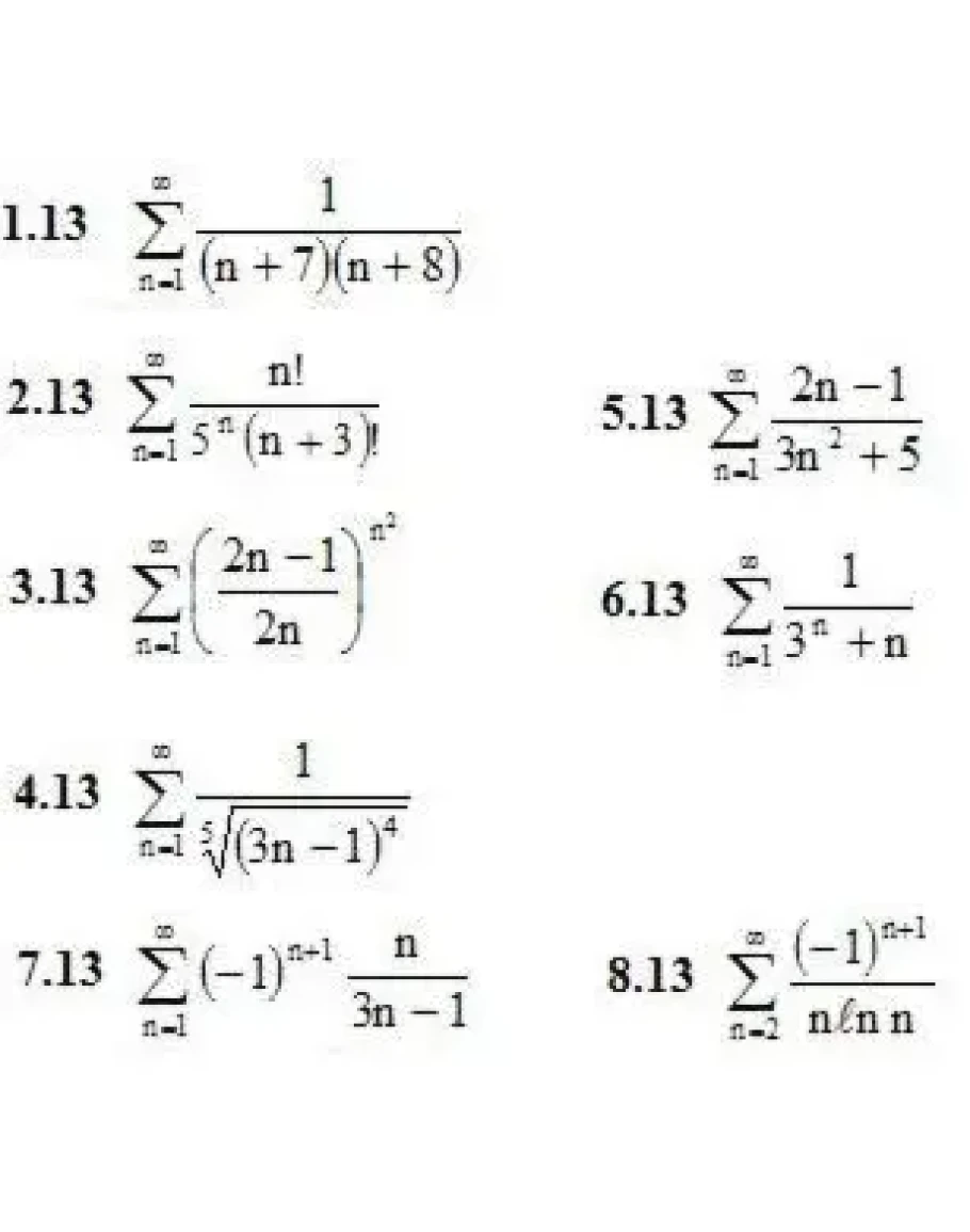
1. Доказать сходимость ряда и найти его сумму.
2. Исследовать на сходимость указанные ряды с положительными членами.(2-6)
Исследовать на сходимость и абсолютную сходимость знакочередующиеся ряды. (7-8)
2. Исследовать на сходимость указанные ряды с положительными членами.(2-6)
Исследовать на сходимость и абсолютную сходимость знакочередующиеся ряды. (7-8)




