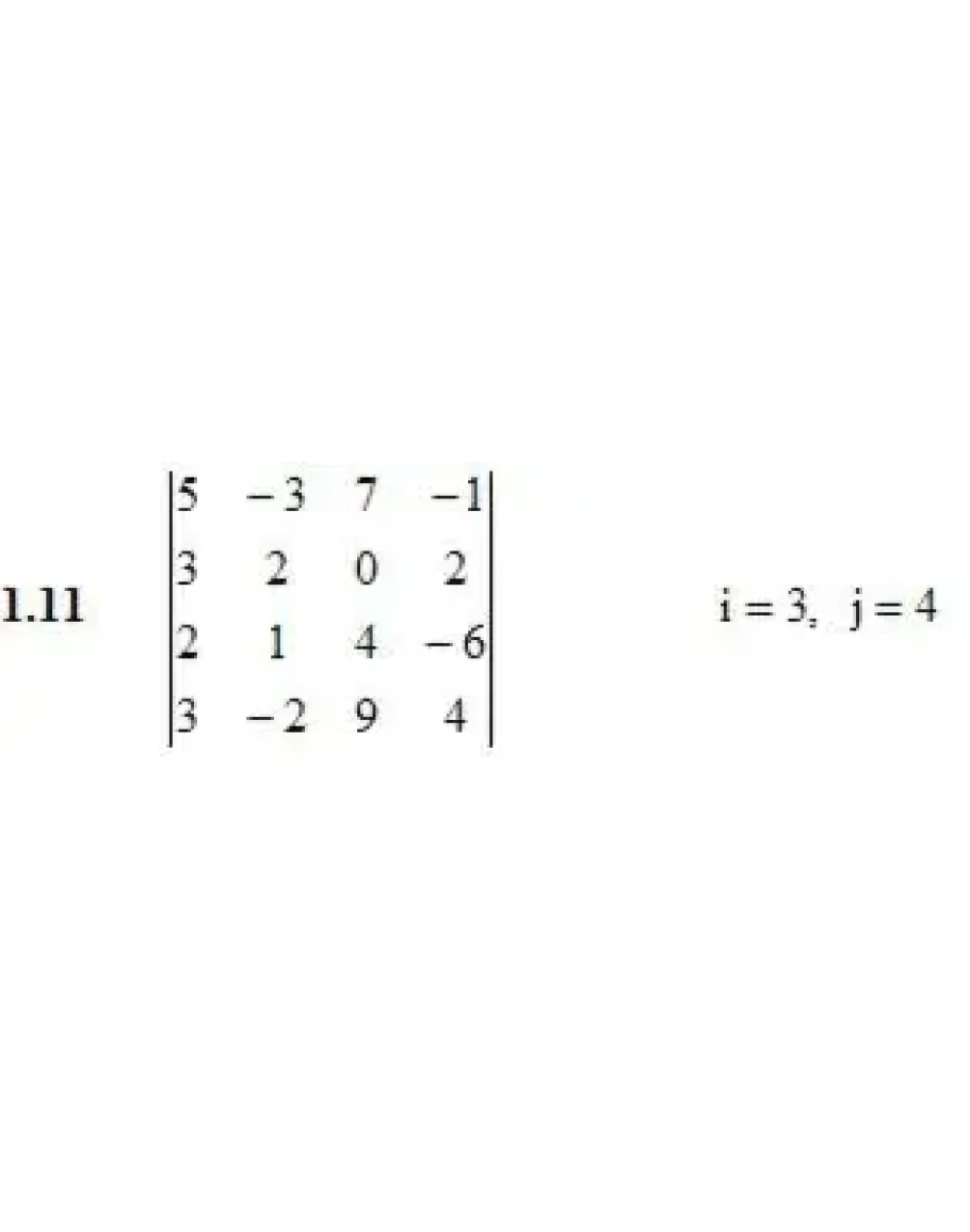
1. Для данного определителя Δ найти миноры и алгебраические дополнения элементов ai2, a3j. Вычислить определитель ?: а) разложив его по элементам i-й строки; б) разложив его по элементам j-го столбца; в) получив предварительно нули в i-й строке.

2. Даны две матрицы А и В. Найти: а) AB; б) BA; в) A-1; г) AA-1; д) A-1A

Написать отзыв

Примечание: HTML разметка не поддерживается! Используйте обычный текст.
   Плохо           Хорошо

Решебник Рябушко. Решенный ИДЗ 1.1, Вариант 11

  • Продавец: Massimo86
  • Модель: 2544445
  • Наличие: Есть в наличии
  • 40р.

Рекомендуемые