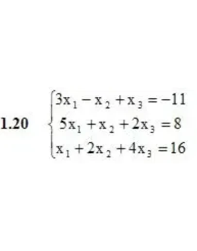
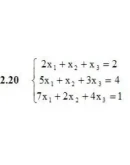
1. Проверить совместность системы уравнений и в случае совместности решить ее: а) по формулам Крамера; б) с помощью обратной матрицы (матричным методом); в) методом Гаусса.

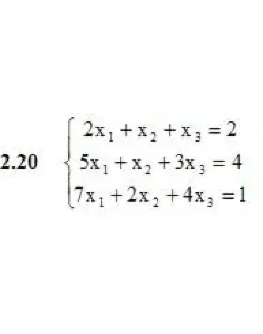
2. Проверить совместность системы уравнений и в случае совместности решить ее: а) по формулам Крамера; б) с помощью обратной матрицы (матричным методом); в) методом Гаусса.

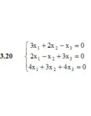
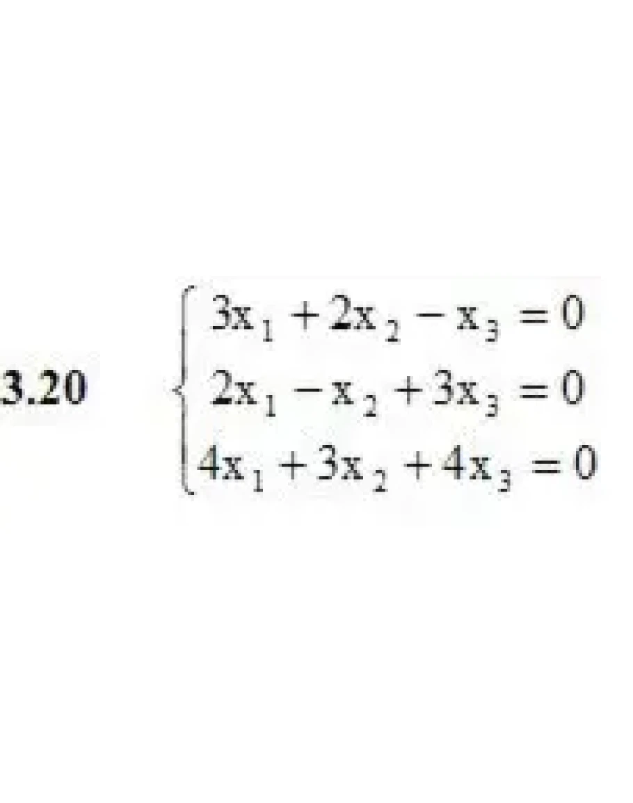
3. Решить однородную систему линейных алгебраических уравнений.

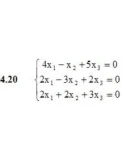
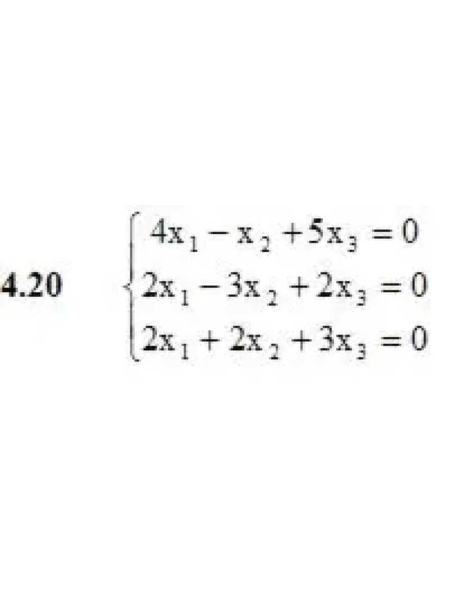
4. Решить однородную систему линейных алгебраических уравнений.

Написать отзыв

Примечание: HTML разметка не поддерживается! Используйте обычный текст.
   Плохо           Хорошо

Решебник Рябушко. Решенный ИДЗ 1.2, Вариант 20

  • Продавец: Massimo86
  • Модель: 2544491
  • Наличие: Есть в наличии
  • 80р.

Рекомендуемые