1. Проверить совместность системы уравнений и в случае совместности решить ее: а) по формулам Крамера; б) с помощью обратной матрицы (матричным методом); в) методом Гаусса.
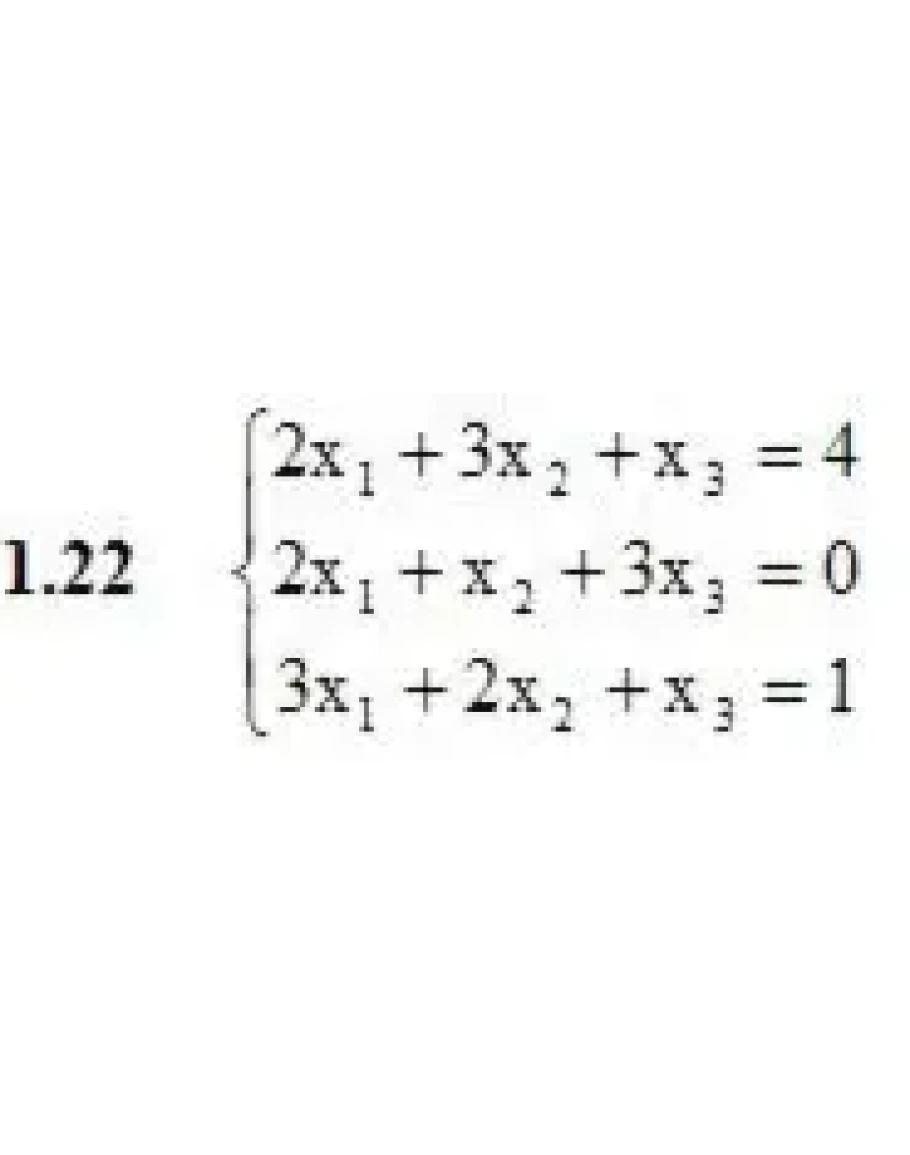
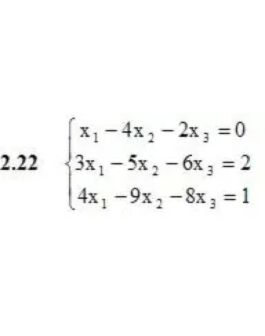
2. Проверить совместность системы уравнений и в случае совместности решить ее: а) по формулам Крамера; б) с помощью обратной матрицы (матричным методом); в) методом Гаусса.
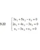
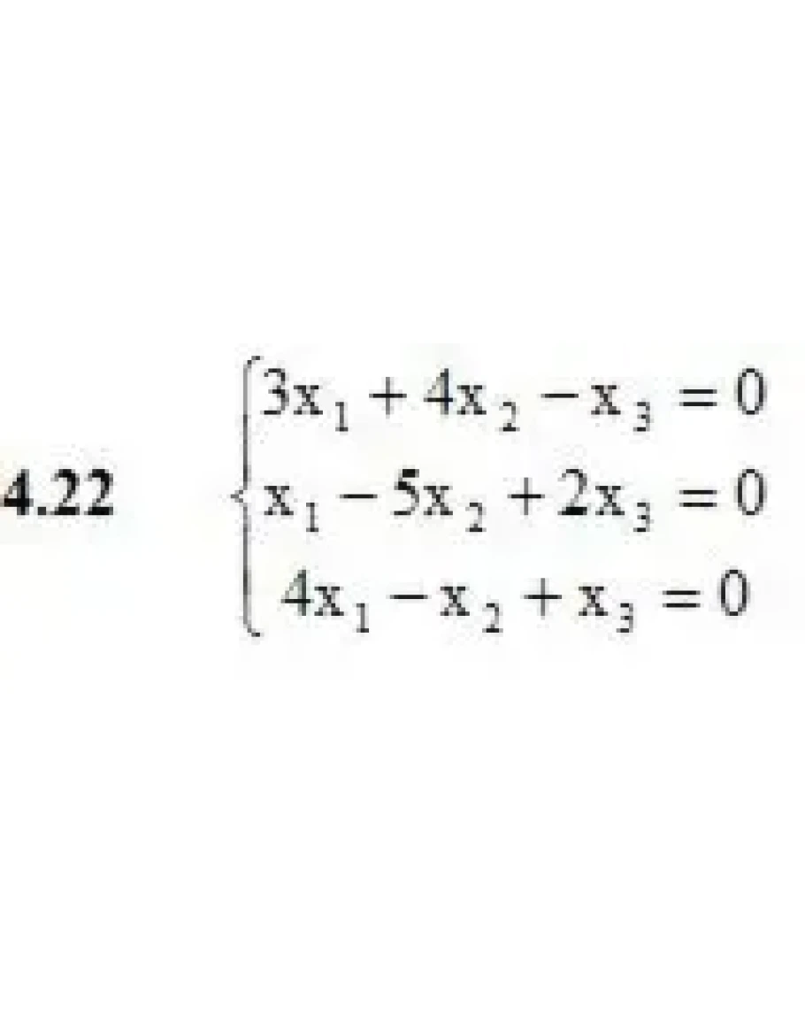
3. Решить однородную систему линейных алгебраических уравнений.
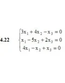
4. Решить однородную систему линейных алгебраических уравнений.
2. Проверить совместность системы уравнений и в случае совместности решить ее: а) по формулам Крамера; б) с помощью обратной матрицы (матричным методом); в) методом Гаусса.
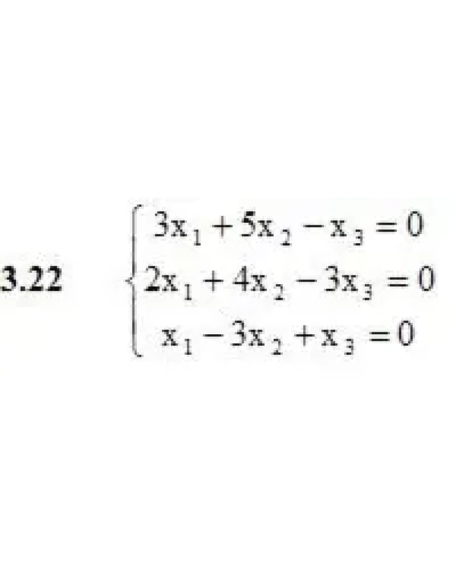
3. Решить однородную систему линейных алгебраических уравнений.
4. Решить однородную систему линейных алгебраических уравнений.







