1. Найти уравнения касательной плоскости и нормали к заданной поверхности S в точке M0(x0, y0, z0)
1.10 S: y2 – z2 + x2 – 2xz + 2x = z, M0(1, 1, 1)
2. Найти вторые частные производные указанных функций. Убедиться в том, что z”xy= z”yx
2.10 z = ln(3x2 – 2y2)
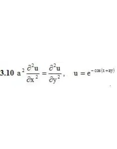
3. Проверить, удовлетворяет ли указанному уравнению данная функция u.
4. Исследовать на экстремум следующие функции.
4.10 z = 6(x – y) – 3x2 – 3y2
5. Найти наибольшее и наименьшее значения функции z=z(x, y) в области D, ограниченной заданными линиями.
5.10 z = x2 + 2xy – 10, D: y = 0, y = x2 – 4
1.10 S: y2 – z2 + x2 – 2xz + 2x = z, M0(1, 1, 1)
2. Найти вторые частные производные указанных функций. Убедиться в том, что z”xy= z”yx
2.10 z = ln(3x2 – 2y2)
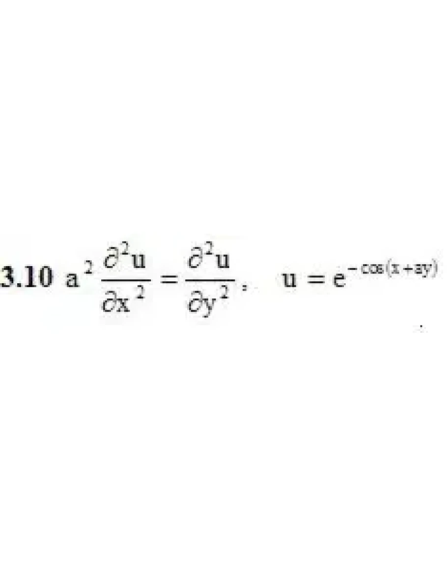
3. Проверить, удовлетворяет ли указанному уравнению данная функция u.
4. Исследовать на экстремум следующие функции.
4.10 z = 6(x – y) – 3x2 – 3y2
5. Найти наибольшее и наименьшее значения функции z=z(x, y) в области D, ограниченной заданными линиями.
5.10 z = x2 + 2xy – 10, D: y = 0, y = x2 – 4




