1. Найти уравнения касательной плоскости и нормали к заданной поверхности S в точке M0(x0, y0, z0)
1.12 S: z = y2 – x2 + 2xy – 3y, M0(1, −1, 1)
2. Найти вторые частные производные указанных функций. Убедиться в том, что z”xy= z”yx
2.12 z = ctg(y/x)
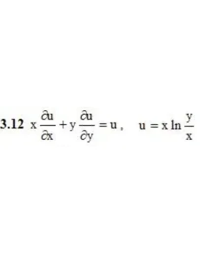
3. Проверить, удовлетворяет ли указанному уравнению данная функция u.
4. Исследовать на экстремум следующие функции.
4.12 z = (x – 2)2 + 2y2 – 10
5. Найти наибольшее и наименьшее значения функции z=z(x, y) в области D, ограниченной заданными линиями.
5.12 z = 1/2x2 – xy, D: y = 8, y = 2x2
1.12 S: z = y2 – x2 + 2xy – 3y, M0(1, −1, 1)
2. Найти вторые частные производные указанных функций. Убедиться в том, что z”xy= z”yx
2.12 z = ctg(y/x)
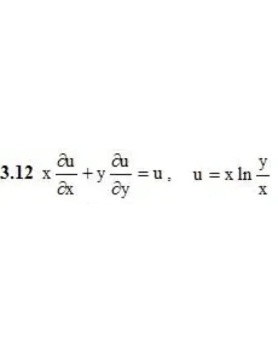
3. Проверить, удовлетворяет ли указанному уравнению данная функция u.
4. Исследовать на экстремум следующие функции.
4.12 z = (x – 2)2 + 2y2 – 10
5. Найти наибольшее и наименьшее значения функции z=z(x, y) в области D, ограниченной заданными линиями.
5.12 z = 1/2x2 – xy, D: y = 8, y = 2x2




