1. Найти уравнения касательной плоскости и нормали к заданной поверхности S в точке M0(x0, y0, z0)
1.16 S: z = x2 + y2 – 3xy – x + y + 2, M0(2, 1, 0)
2. Найти вторые частные производные указанных функций. Убедиться в том, что z”xy= z”yx
2.16 z = arcsin(x – 2y)
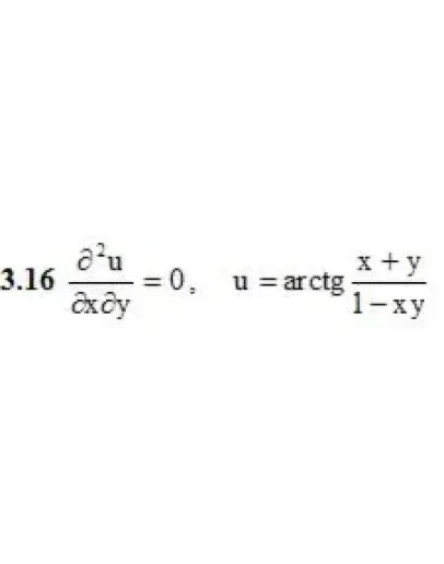
3. Проверить, удовлетворяет ли указанному уравнению данная функция u.
4. Исследовать на экстремум следующие функции.
4.16 z = x√y – x2 – y + 6x + 3
5. Найти наибольшее и наименьшее значения функции z=z(x, y) в области D, ограниченной заданными линиями.
5.16 z = 3x2 + 3y2 – x – y +1, D: x = 5, y = 0, x – y – 1=0
1.16 S: z = x2 + y2 – 3xy – x + y + 2, M0(2, 1, 0)
2. Найти вторые частные производные указанных функций. Убедиться в том, что z”xy= z”yx
2.16 z = arcsin(x – 2y)
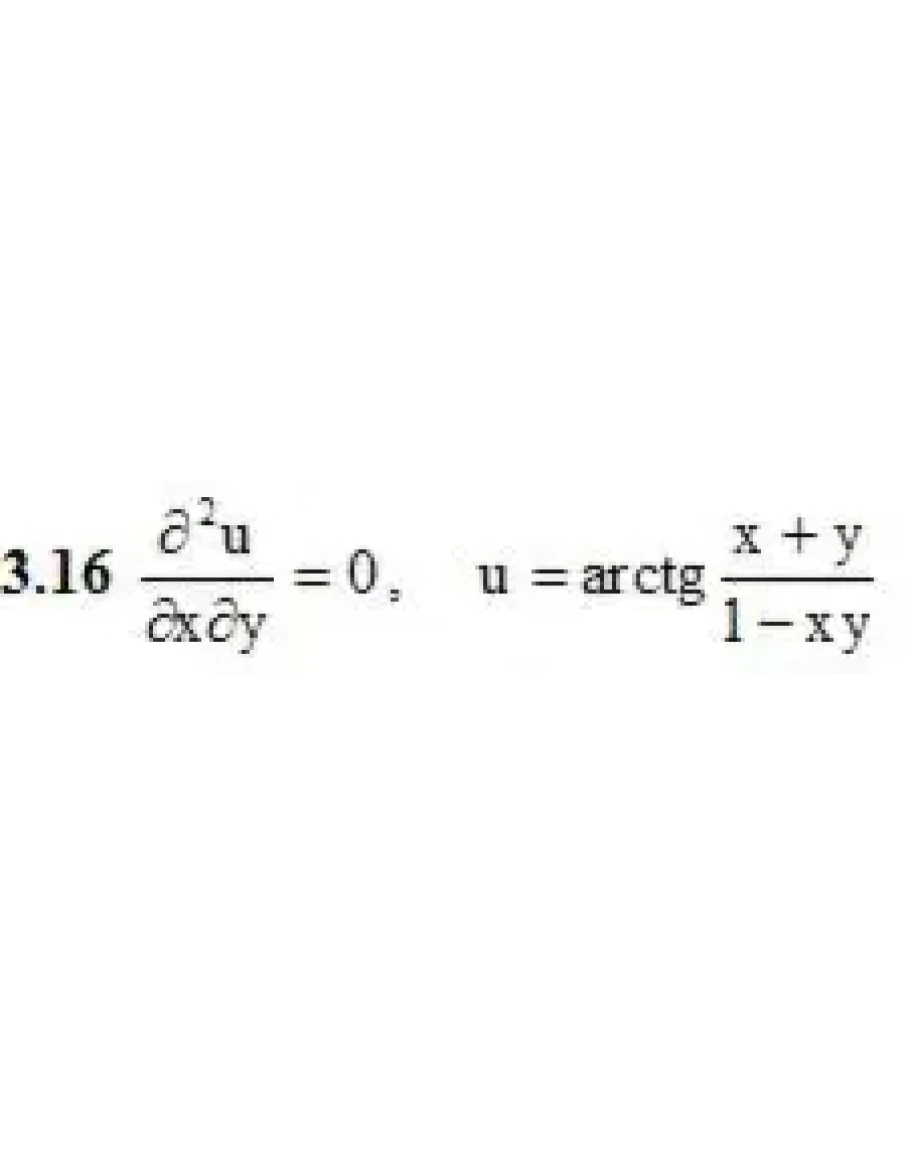
3. Проверить, удовлетворяет ли указанному уравнению данная функция u.
4. Исследовать на экстремум следующие функции.
4.16 z = x√y – x2 – y + 6x + 3
5. Найти наибольшее и наименьшее значения функции z=z(x, y) в области D, ограниченной заданными линиями.
5.16 z = 3x2 + 3y2 – x – y +1, D: x = 5, y = 0, x – y – 1=0




