1. Найти уравнения касательной плоскости и нормали к заданной поверхности S в точке M0(x0, y0, z0)
1.17 S: 2x2 – y2 + 2z2 + xy + xz = 3, M0(1, 2, 1)
2. Найти вторые частные производные указанных функций. Убедиться в том, что z”xy= z”yx
2.17 z = arccos(4x – y)
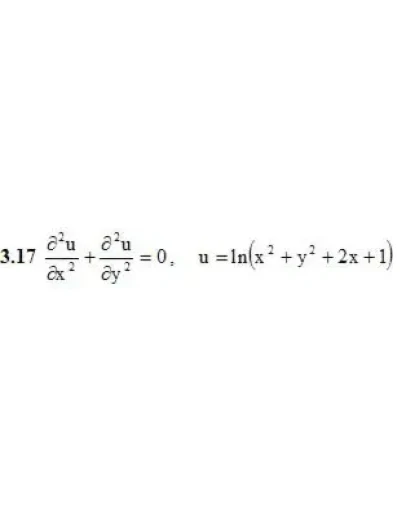
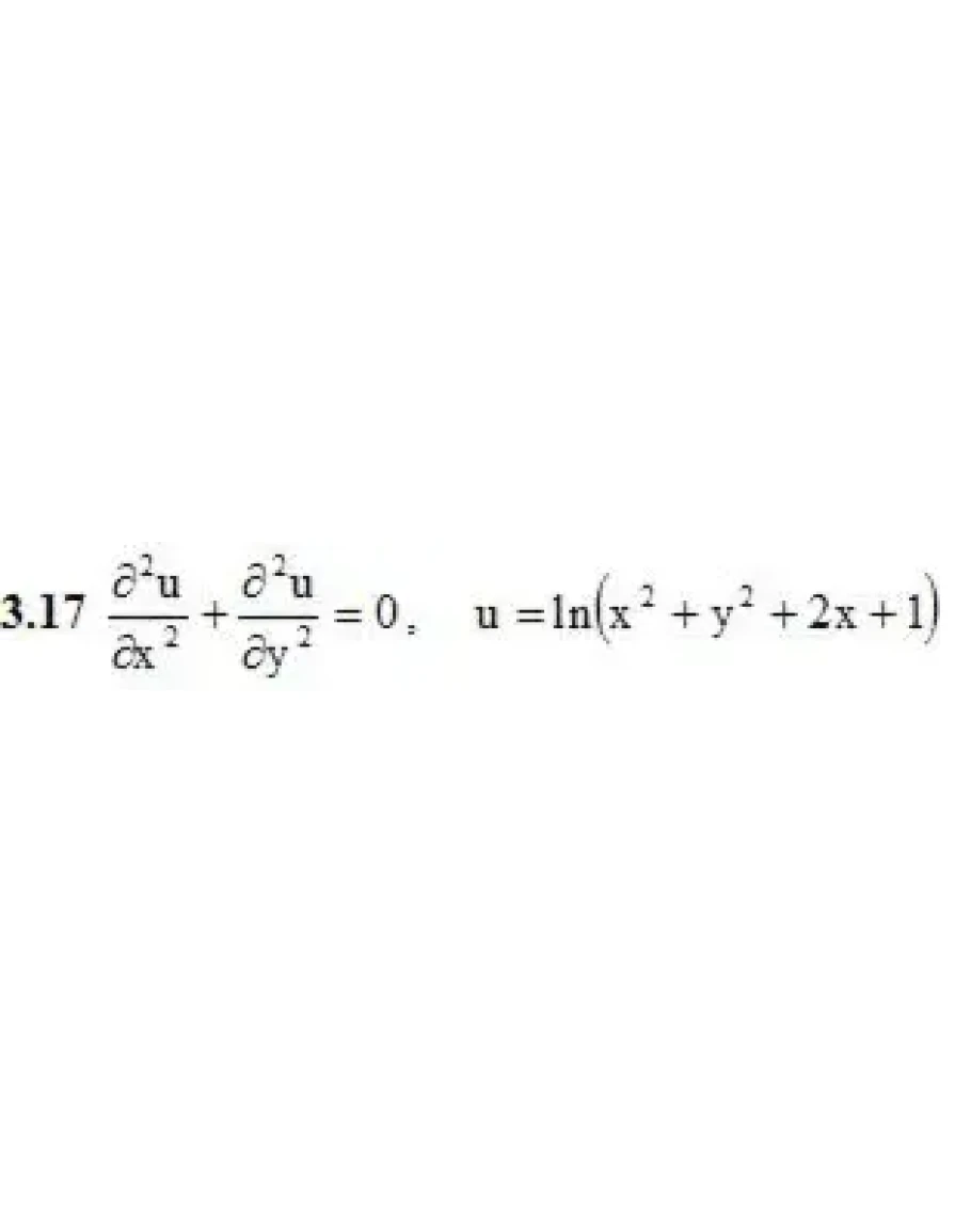
3. Проверить, удовлетворяет ли указанному уравнению данная функция u.
4. Исследовать на экстремум следующие функции.
4.17 z = 2xy – 5x2 – 3y2 + 2
5. Найти наибольшее и наименьшее значения функции z=z(x, y) в области D, ограниченной заданными линиями.
5.17 z = 2x2 + 2xy – 1/2y2 – 4x, D: y = 2x, y = 2, x = 0
1.17 S: 2x2 – y2 + 2z2 + xy + xz = 3, M0(1, 2, 1)
2. Найти вторые частные производные указанных функций. Убедиться в том, что z”xy= z”yx
2.17 z = arccos(4x – y)
3. Проверить, удовлетворяет ли указанному уравнению данная функция u.
4. Исследовать на экстремум следующие функции.
4.17 z = 2xy – 5x2 – 3y2 + 2
5. Найти наибольшее и наименьшее значения функции z=z(x, y) в области D, ограниченной заданными линиями.
5.17 z = 2x2 + 2xy – 1/2y2 – 4x, D: y = 2x, y = 2, x = 0




