1. Найти уравнения касательной плоскости и нормали к заданной поверхности S в точке M0(x0, y0, z0)
1.18 S: x2 – y2 + z2 – 4x + 2y = 14, M0(3, 1, 4)
2. Найти вторые частные производные указанных функций. Убедиться в том, что z”xy= z”yx
2.18 z = arctg(5x + 2y)
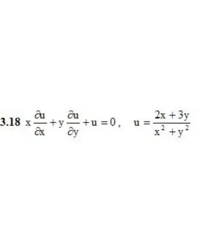
3. Проверить, удовлетворяет ли указанному уравнению данная функция u.
4. Исследовать на экстремум следующие функции.
4.18 z = xy(12 – x – y)
5. Найти наибольшее и наименьшее значения функции z=z(x, y) в области D, ограниченной заданными линиями.
5.18 z = x2 – 2xy + 5/2y2 – 2x, D: x = 0, x = 2, y = 0, y = 2
1.18 S: x2 – y2 + z2 – 4x + 2y = 14, M0(3, 1, 4)
2. Найти вторые частные производные указанных функций. Убедиться в том, что z”xy= z”yx
2.18 z = arctg(5x + 2y)
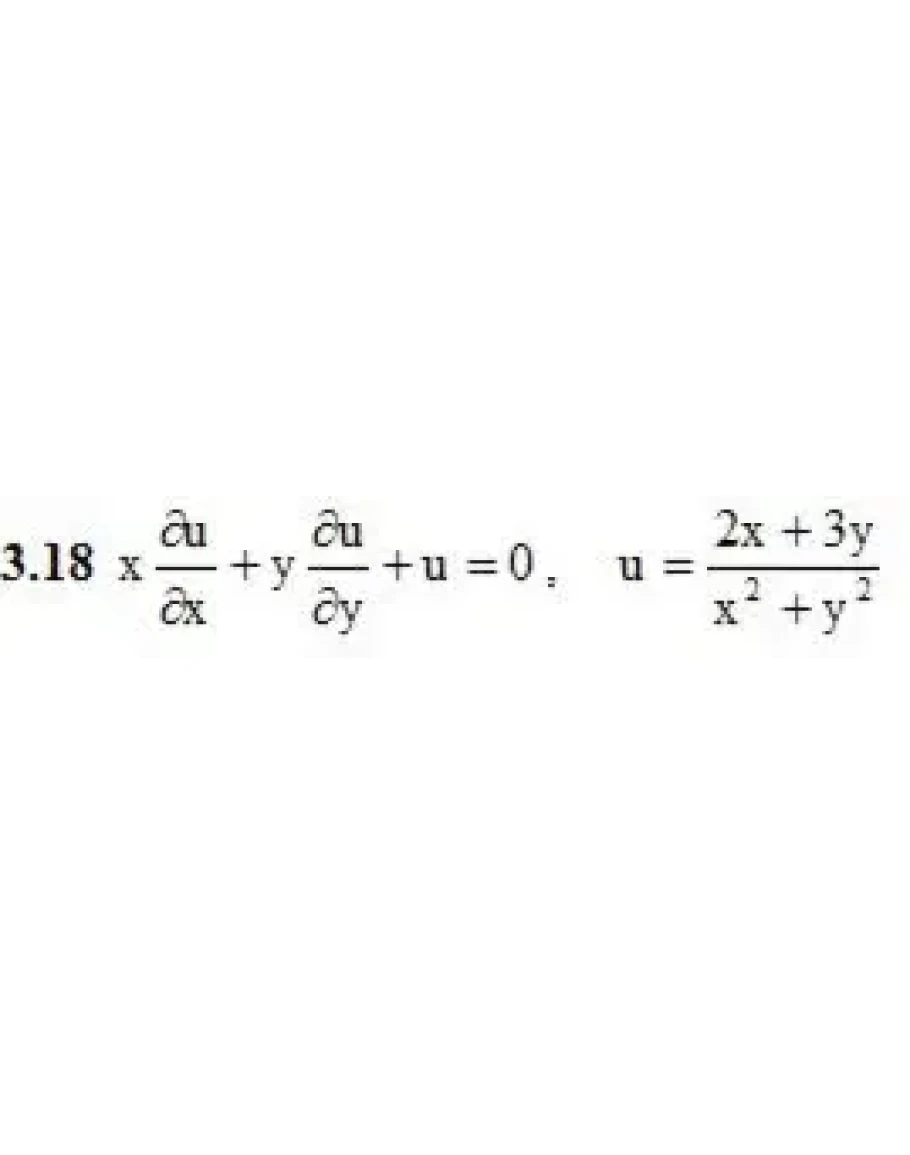
3. Проверить, удовлетворяет ли указанному уравнению данная функция u.
4. Исследовать на экстремум следующие функции.
4.18 z = xy(12 – x – y)
5. Найти наибольшее и наименьшее значения функции z=z(x, y) в области D, ограниченной заданными линиями.
5.18 z = x2 – 2xy + 5/2y2 – 2x, D: x = 0, x = 2, y = 0, y = 2




