1. Найти уравнения касательной плоскости и нормали к заданной поверхности S в точке M0(x0, y0, z0)
1.19 S: x2 + y2 – z2 + xz + 4y = 4, M0(1, 1, 2)
2. Найти вторые частные производные указанных функций. Убедиться в том, что z”xy= z”yx
2.19 z = arctg(2x – y)
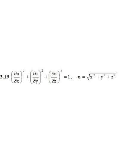
3. Проверить, удовлетворяет ли указанному уравнению данная функция u.
4. Исследовать на экстремум следующие функции.
4.19 z = xy – x2 – y2 + 9
5. Найти наибольшее и наименьшее значения функции z=z(x, y) в области D, ограниченной заданными линиями.
5.19 z = xy – 3x – 2y, D: x = 0, x = 4, y = 0, y = 4
1.19 S: x2 + y2 – z2 + xz + 4y = 4, M0(1, 1, 2)
2. Найти вторые частные производные указанных функций. Убедиться в том, что z”xy= z”yx
2.19 z = arctg(2x – y)
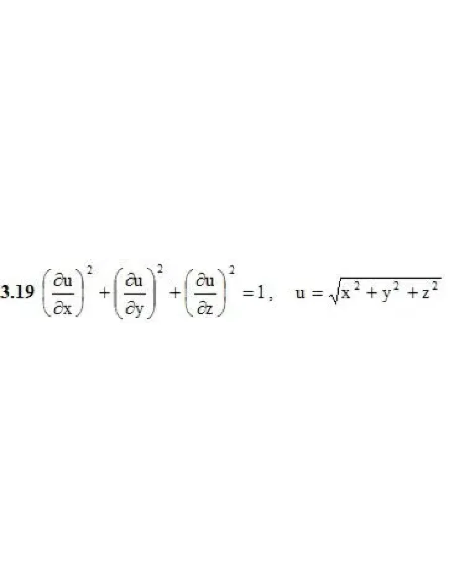
3. Проверить, удовлетворяет ли указанному уравнению данная функция u.
4. Исследовать на экстремум следующие функции.
4.19 z = xy – x2 – y2 + 9
5. Найти наибольшее и наименьшее значения функции z=z(x, y) в области D, ограниченной заданными линиями.
5.19 z = xy – 3x – 2y, D: x = 0, x = 4, y = 0, y = 4




