• Решебник Рябушко. Решенный ИДЗ 10.2, Вариант 22
1. Найти уравнения касательной плоскости и нормали к заданной поверхности S в точке M0(x0, y0, z0)
1.22 S: x2 + 2y2 + z2 – 4xz = 8, M0(0, 2, 0)

2. Найти вторые частные производные указанных функций. Убедиться в том, что z”xy= z”yx
2.22 z = arcsin(4x + y)

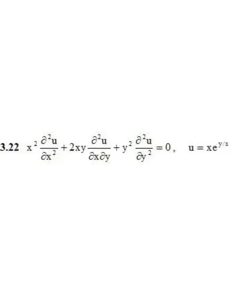
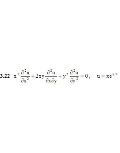
3. Проверить, удовлетворяет ли указанному уравнению данная функция u.
4. Исследовать на экстремум следующие функции.
4.22 z = y√x – y2 – x + 6y

5. Найти наибольшее и наименьшее значения функции z=z(x, y) в области D, ограниченной заданными линиями.
5.22 z = x3 + y3 – 3xy, D: x = 0, x = 2, y = –1, y = 2

Написать отзыв

Примечание: HTML разметка не поддерживается! Используйте обычный текст.
   Плохо           Хорошо

Решебник Рябушко. Решенный ИДЗ 10.2, Вариант 22

  • Продавец: Massimo86
  • Модель: 2546193
  • Наличие: Есть в наличии
  • 110р.

Рекомендуемые