1. Найти уравнения касательной плоскости и нормали к заданной поверхности S в точке M0(x0, y0, z0)
1.27 S: z = 2x2 – 3y2 + 4x – 2y + 10, M0(−1, 1, 3)
2. Найти вторые частные производные указанных функций. Убедиться в том, что z”xy= z”yx
2.27 z = ln(5x2 – 3y4)
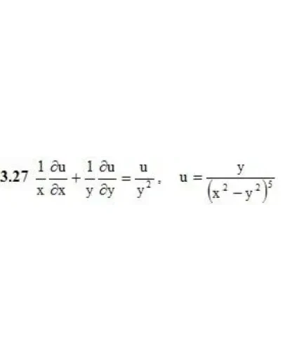
3. Проверить, удовлетворяет ли указанному уравнению данная функция u.
4. Исследовать на экстремум следующие функции.
4.27 z = (x – 1)2 + 2y2
5. Найти наибольшее и наименьшее значения функции z=z(x, y) в области D, ограниченной заданными линиями.
5.27 z = 4 – 2x2 – y2, D: y = 0, y=√1-x2
1.27 S: z = 2x2 – 3y2 + 4x – 2y + 10, M0(−1, 1, 3)
2. Найти вторые частные производные указанных функций. Убедиться в том, что z”xy= z”yx
2.27 z = ln(5x2 – 3y4)
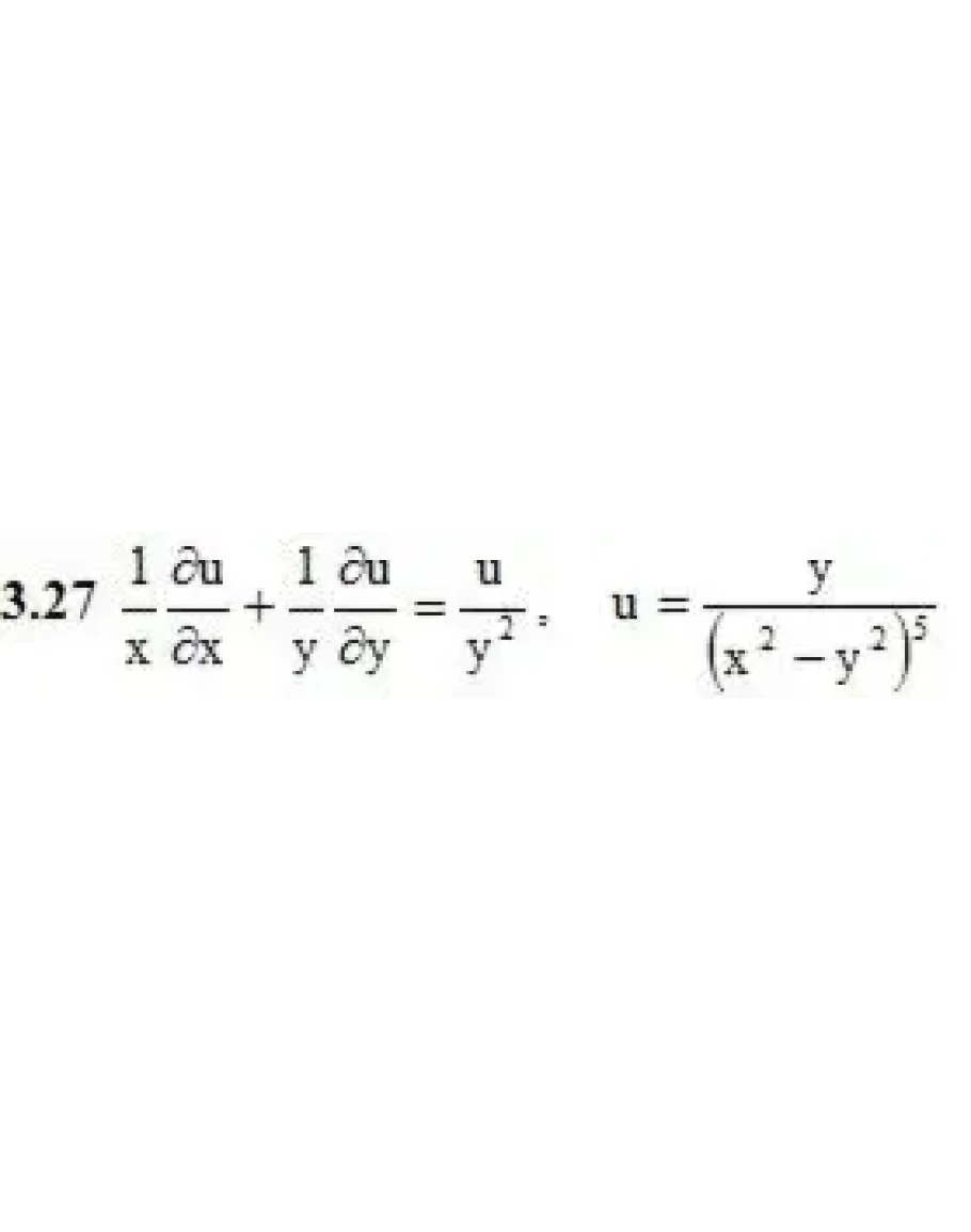
3. Проверить, удовлетворяет ли указанному уравнению данная функция u.
4. Исследовать на экстремум следующие функции.
4.27 z = (x – 1)2 + 2y2
5. Найти наибольшее и наименьшее значения функции z=z(x, y) в области D, ограниченной заданными линиями.
5.27 z = 4 – 2x2 – y2, D: y = 0, y=√1-x2




