1. Найти уравнения касательной плоскости и нормали к заданной поверхности S в точке M0(x0, y0, z0)
1.28 S: z = x2 + y2 – 4xy + 3x – 15, M0(−1, 3, 4)
2. Найти вторые частные производные указанных функций. Убедиться в том, что z”xy= z”yx
2.28 z = arcctg(x – 4y)
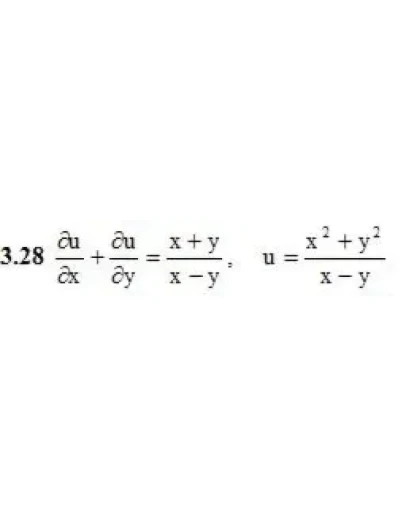
3. Проверить, удовлетворяет ли указанному уравнению данная функция u.
4. Исследовать на экстремум следующие функции.
4.28 z = xy – 3x2 – 2y2
5. Найти наибольшее и наименьшее значения функции z=z(x, y) в области D, ограниченной заданными линиями.
5.28 z = 5x2 – 3xy + y2 + 4, D: x = –1, x = 1, y = –1, y = 1
1.28 S: z = x2 + y2 – 4xy + 3x – 15, M0(−1, 3, 4)
2. Найти вторые частные производные указанных функций. Убедиться в том, что z”xy= z”yx
2.28 z = arcctg(x – 4y)
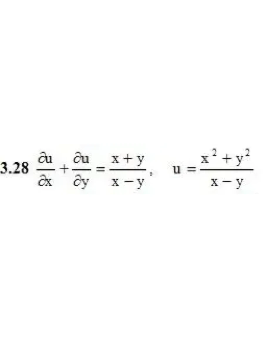
3. Проверить, удовлетворяет ли указанному уравнению данная функция u.
4. Исследовать на экстремум следующие функции.
4.28 z = xy – 3x2 – 2y2
5. Найти наибольшее и наименьшее значения функции z=z(x, y) в области D, ограниченной заданными линиями.
5.28 z = 5x2 – 3xy + y2 + 4, D: x = –1, x = 1, y = –1, y = 1




