• Решебник Рябушко. Решенный ИДЗ 10.2, Вариант 29
1. Найти уравнения касательной плоскости и нормали к заданной поверхности S в точке M0(x0, y0, z0)
1.29 S: z = x2 + 2y2 + 4xy – 5y – 10, M0(−7, 1, 8)

2. Найти вторые частные производные указанных функций. Убедиться в том, что z”xy= z”yx
2.29 z = ln(3xy – 4)

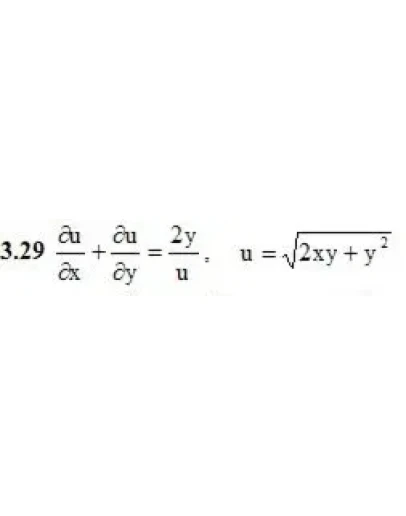
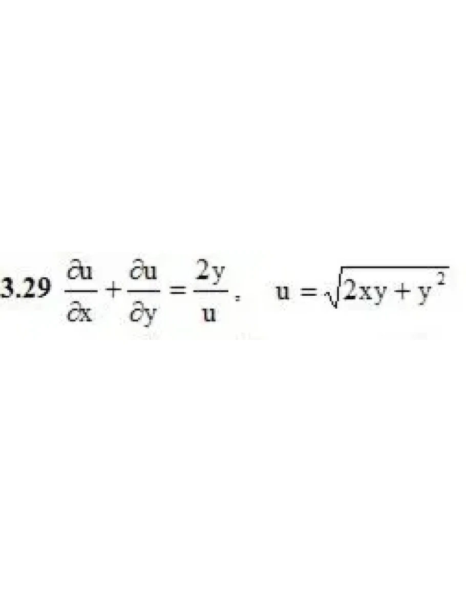
3. Проверить, удовлетворяет ли указанному уравнению данная функция u.
4. Исследовать на экстремум следующие функции.
4.29 z = x2 + 3(y + 2)2

5. Найти наибольшее и наименьшее значения функции z=z(x, y) в области D, ограниченной заданными линиями.
5.29 z = x2 + 2xy + 4x – y2, D: x + y + 2 = 0, x = 0, y = 0

Написать отзыв

Примечание: HTML разметка не поддерживается! Используйте обычный текст.
   Плохо           Хорошо

Решебник Рябушко. Решенный ИДЗ 10.2, Вариант 29

  • Продавец: Massimo86
  • Модель: 2546200
  • Наличие: Есть в наличии
  • 110р.

Рекомендуемые