• Решебник Рябушко. Решенный ИДЗ 10.2, Вариант 2
1. Найти уравнения касательной плоскости и нормали к заданной поверхности S в точке M0(x0, y0, z0)
1.2 S: x2 + z2 – 4y2 = –2xy, M0(–2, 1, 2)

2. Найти вторые частные производные указанных функций. Убедиться в том, что z”xy= z”yx
2.2 z = ctg(x + y)

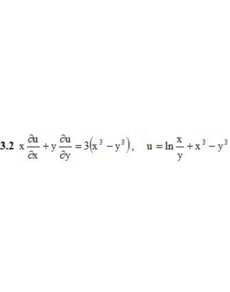
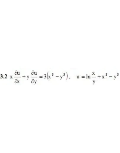
3. Проверить, удовлетворяет ли указанному уравнению данная функция u.
4. Исследовать на экстремум следующие функции.
4.2 z = x3 + 8y3 – 6xy + 5

5. Найти наибольшее и наименьшее значения функции z=z(x, y) в области D, ограниченной заданными линиями.
5.2 z = xy – x – 2y, D: x = 3, y = x, y = 0

Написать отзыв

Примечание: HTML разметка не поддерживается! Используйте обычный текст.
   Плохо           Хорошо

Решебник Рябушко. Решенный ИДЗ 10.2, Вариант 2

  • Продавец: Massimo86
  • Модель: 2546170
  • Наличие: Есть в наличии
  • 110р.

Рекомендуемые