1. Найти уравнения касательной плоскости и нормали к заданной поверхности S в точке M0(x0, y0, z0)
1.3 S: x2 + y2 + z2 – xy + 3z = 7, M0(1, 2, 1)
2. Найти вторые частные производные указанных функций. Убедиться в том, что z”xy= z”yx
2.3 z = tg(x/y)
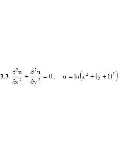
3. Проверить, удовлетворяет ли указанному уравнению данная функция u.
4. Исследовать на экстремум следующие функции.
4.3 z = 1 + 15x – 2x2 – xy – 2y2
5. Найти наибольшее и наименьшее значения функции z=z(x, y) в области D, ограниченной заданными линиями.
5.3 z = x2 + 2xy – 4x + 8y, D: x = 0, x = 1, y = 0, y = 2
1.3 S: x2 + y2 + z2 – xy + 3z = 7, M0(1, 2, 1)
2. Найти вторые частные производные указанных функций. Убедиться в том, что z”xy= z”yx
2.3 z = tg(x/y)
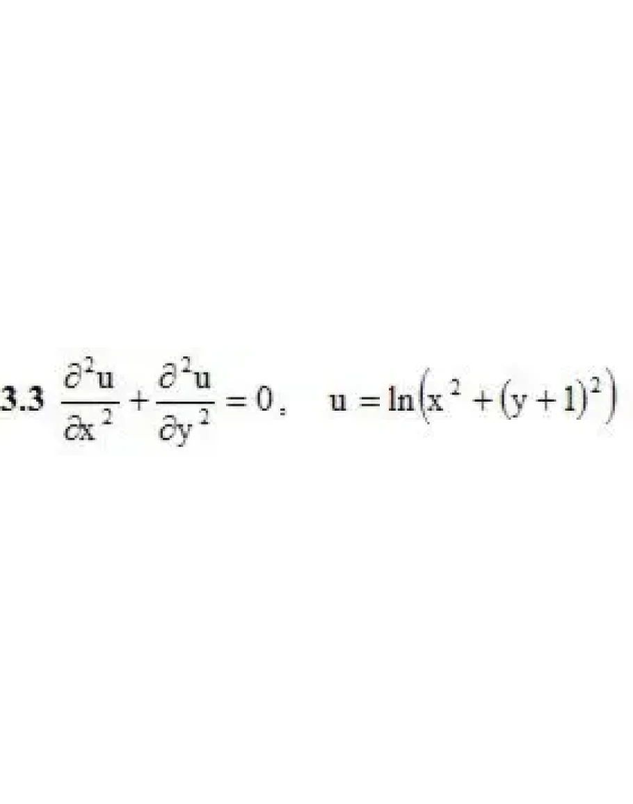
3. Проверить, удовлетворяет ли указанному уравнению данная функция u.
4. Исследовать на экстремум следующие функции.
4.3 z = 1 + 15x – 2x2 – xy – 2y2
5. Найти наибольшее и наименьшее значения функции z=z(x, y) в области D, ограниченной заданными линиями.
5.3 z = x2 + 2xy – 4x + 8y, D: x = 0, x = 1, y = 0, y = 2




