1. Найти уравнения касательной плоскости и нормали к заданной поверхности S в точке M0(x0, y0, z0)
1.4 S: x2 + y2 + z2 + 6y + 4x = 8, M0(–1, 1, 2)
2. Найти вторые частные производные указанных функций. Убедиться в том, что z”xy= z”yx
2.4 z = cos(xy2)
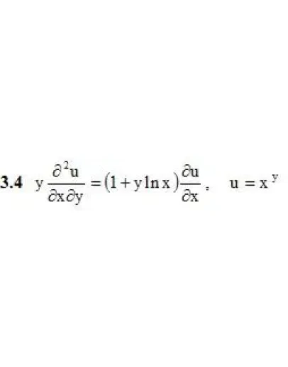
3. Проверить, удовлетворяет ли указанному уравнению данная функция u.
4. Исследовать на экстремум следующие функции.
4.4 z = 1 + 6x – x2 – xy – y2
5. Найти наибольшее и наименьшее значения функции z=z(x, y) в области D, ограниченной заданными линиями.
5.4 z = 5x2 – 3xy + y2, D: x = 0, x = 1, y = 0, y = 1
1.4 S: x2 + y2 + z2 + 6y + 4x = 8, M0(–1, 1, 2)
2. Найти вторые частные производные указанных функций. Убедиться в том, что z”xy= z”yx
2.4 z = cos(xy2)
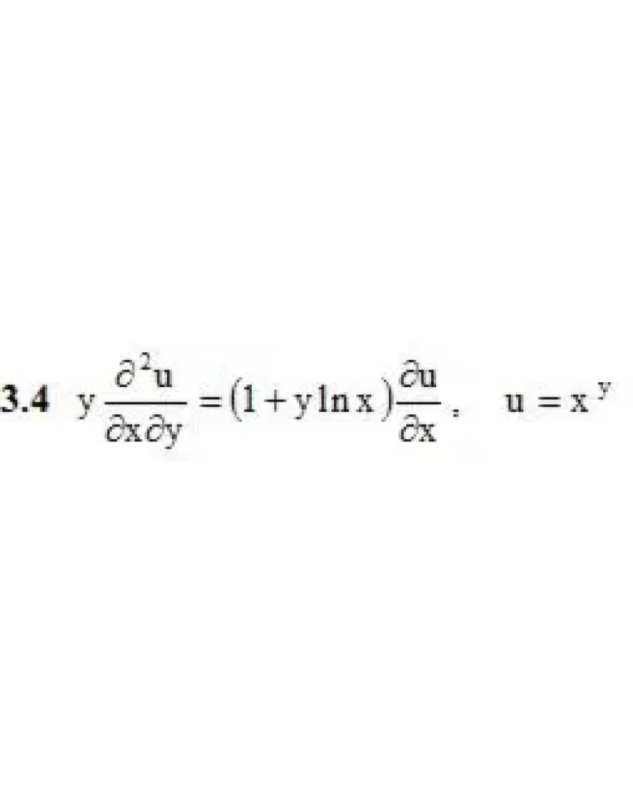
3. Проверить, удовлетворяет ли указанному уравнению данная функция u.
4. Исследовать на экстремум следующие функции.
4.4 z = 1 + 6x – x2 – xy – y2
5. Найти наибольшее и наименьшее значения функции z=z(x, y) в области D, ограниченной заданными линиями.
5.4 z = 5x2 – 3xy + y2, D: x = 0, x = 1, y = 0, y = 1




