• Решебник Рябушко. Решенный ИДЗ 10.2, Вариант 6
1. Найти уравнения касательной плоскости и нормали к заданной поверхности S в точке M0(x0, y0, z0)
1.6 S: x2 + y2 + z2 – 6y + 4z + 4 = 0, M0(2, 1, – 1)

2. Найти вторые частные производные указанных функций. Убедиться в том, что z”xy= z”yx
2.6 z = arctg(x + y)

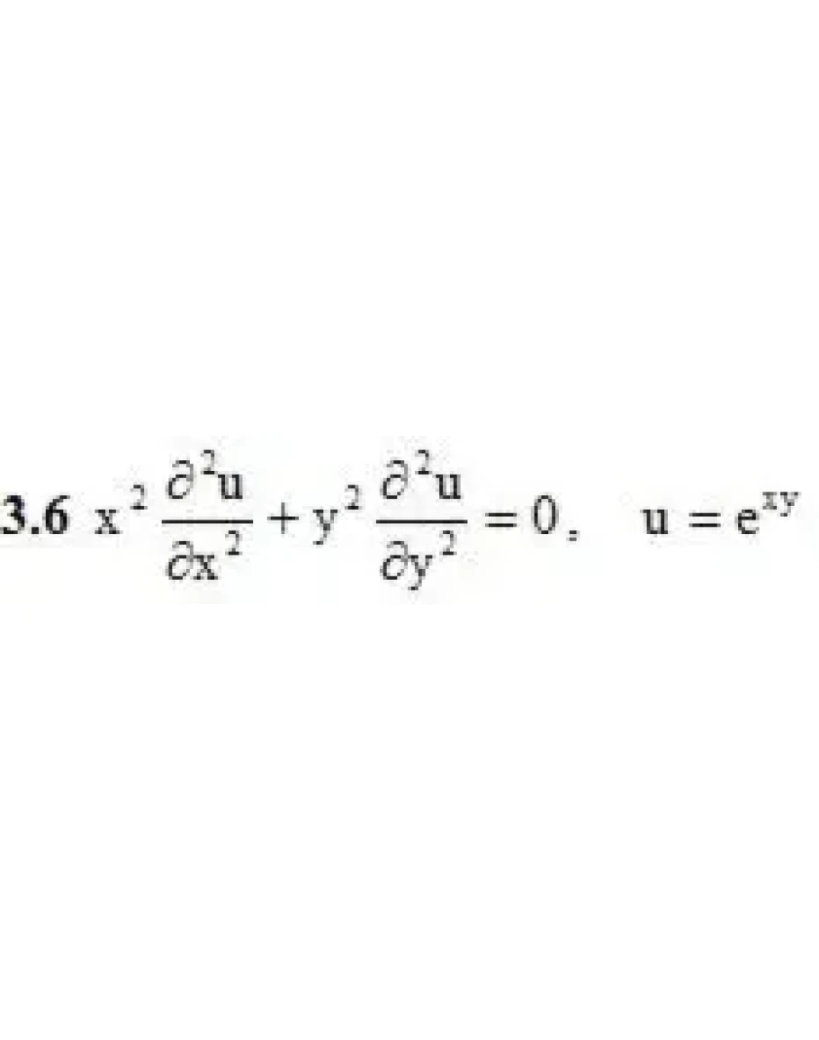
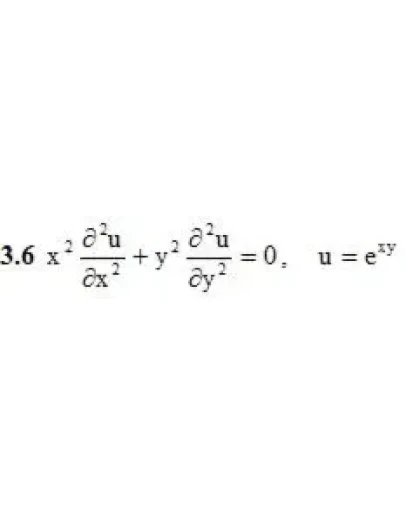
3. Проверить, удовлетворяет ли указанному уравнению данная функция u.
4. Исследовать на экстремум следующие функции.
4.6 z = 2x3 + 2y3 – 6xy + 5

5. Найти наибольшее и наименьшее значения функции z=z(x, y) в области D, ограниченной заданными линиями.
5.6 z = x2 + y2 – 2x – 2y +8, D: x = 0, y = 0, x + y – 1=0

Написать отзыв

Примечание: HTML разметка не поддерживается! Используйте обычный текст.
   Плохо           Хорошо

Решебник Рябушко. Решенный ИДЗ 10.2, Вариант 6

  • Продавец: Massimo86
  • Модель: 2546174
  • Наличие: Есть в наличии
  • 110р.

Рекомендуемые