• Решебник Рябушко. Решенный ИДЗ 10.2, Вариант 8
1. Найти уравнения касательной плоскости и нормали к заданной поверхности S в точке M0(x0, y0, z0)
1.8 S: x2 + y2 – xz – yz = 0, M0(0, 2, 2)

2. Найти вторые частные производные указанных функций. Убедиться в том, что z”xy= z”yx
2.8 z = arccos(2x + y)

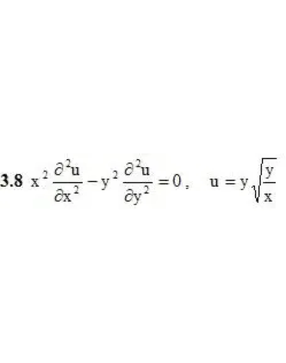
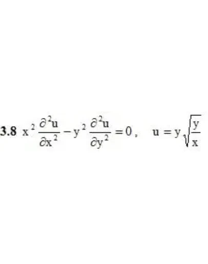
3. Проверить, удовлетворяет ли указанному уравнению данная функция u.
4. Исследовать на экстремум следующие функции.
4.8 z = x2 + xy + y2 + x – y + 1

5. Найти наибольшее и наименьшее значения функции z=z(x, y) в области D, ограниченной заданными линиями.
5.8 z = 3x + 6y – x2 – xy – y2, D: x = 0, x = 1, y = 0, y = 1

Написать отзыв

Примечание: HTML разметка не поддерживается! Используйте обычный текст.
   Плохо           Хорошо

Решебник Рябушко. Решенный ИДЗ 10.2, Вариант 8

  • Продавец: Massimo86
  • Модель: 2546176
  • Наличие: Есть в наличии
  • 110р.

Рекомендуемые