• Решебник Рябушко. Решенный ИДЗ 12.1, Вариант 2
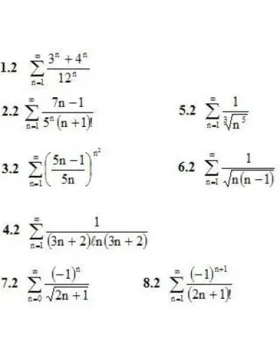
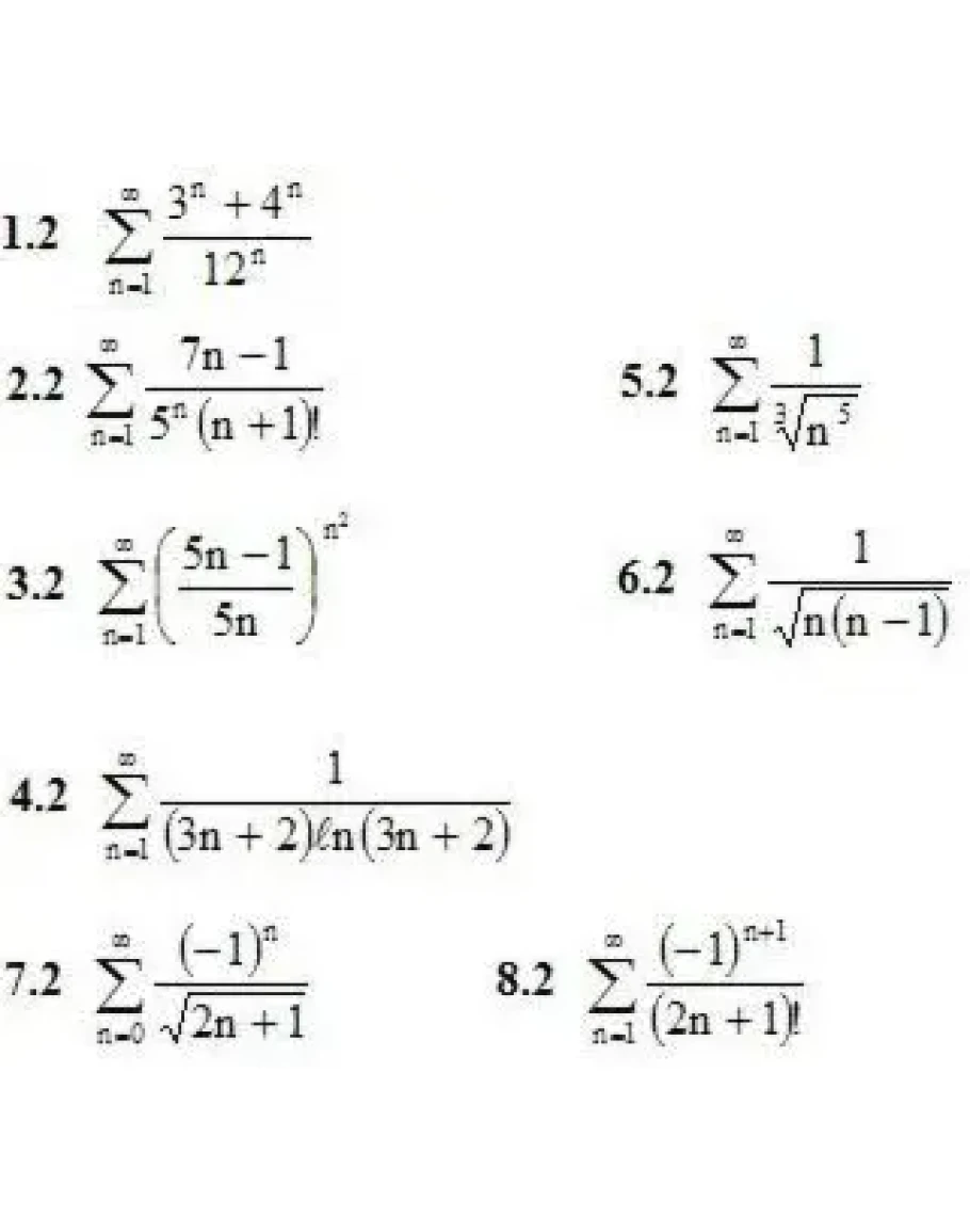
1. Доказать сходимость ряда и найти его сумму.

2. Исследовать на сходимость указанные ряды с положительными членами.(2-6)

Исследовать на сходимость и абсолютную сходимость знакочередующиеся ряды. (7-8)

Написать отзыв

Примечание: HTML разметка не поддерживается! Используйте обычный текст.
   Плохо           Хорошо

Решебник Рябушко. Решенный ИДЗ 12.1, Вариант 2

  • Продавец: Massimo86
  • Модель: 2546783
  • Наличие: Есть в наличии
  • 120р.

Рекомендуемые