Warning: unlink(/var/www/storage/cache/cache.catalog.language.1776007045): No such file or directory in /var/www/opencart/system/library/cache/file.php on line 68 Решебник Рябушко. Решенный ИДЗ 12.2, Вариант 14
  • Решебник Рябушко. Решенный ИДЗ 12.2, Вариант 14
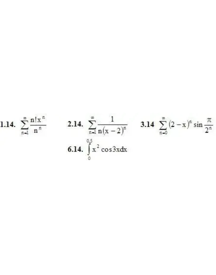
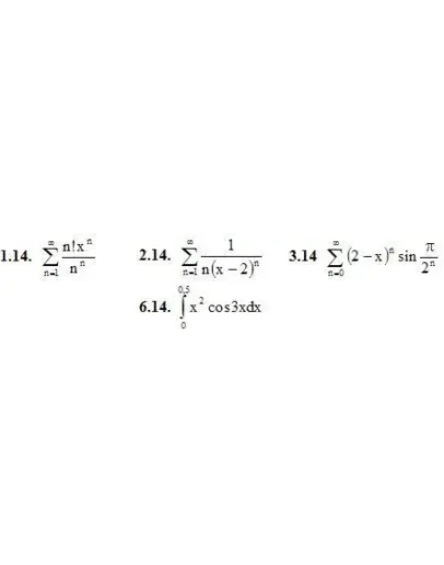
1. Найти область сходимости ряда. (1-3)

4. Разложить в ряд Маклорена функцию f(x). Указать область сходимости полученного ряда к этой функции.
4.14. f(x) = 5x

5. Вычислить указанную величину приближенно с заданной степенью точности α, воспользовавшись разложением в степенной ряд соответствующим образом подобранной функции
5.14. arctg1/2, α=0,001

6. Используя разложение подынтегральной функции в степенной ряд, вычислить указанный определенный интеграл с точностью до 0,001.

7. Найти разложение в степенной ряд по степеням x решения дифференциального уравнения (записать три первых, отличных от нуля, члена этого разложения)
7.14. y′ = x + ey, y(0) = 0

8. Методом последовательного дифференцирования найти первые k членов разложения в степенной ряд решения дифференциального уравнения при указанных начальных условиях.
8.14. y′ = x2 – 2y, y(0) = 1, k = 3

Написать отзыв

Примечание: HTML разметка не поддерживается! Используйте обычный текст.
   Плохо           Хорошо

Решебник Рябушко. Решенный ИДЗ 12.2, Вариант 14

  • Продавец: Massimo86
  • Модель: 2546828
  • Наличие: Есть в наличии
  • 140р.

Рекомендуемые