• Решебник Рябушко. Решенный ИДЗ 12.2, Вариант 20
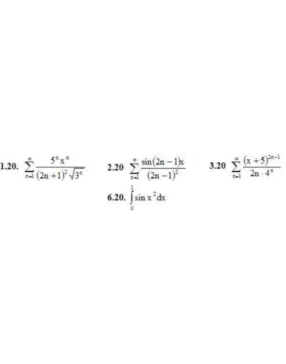
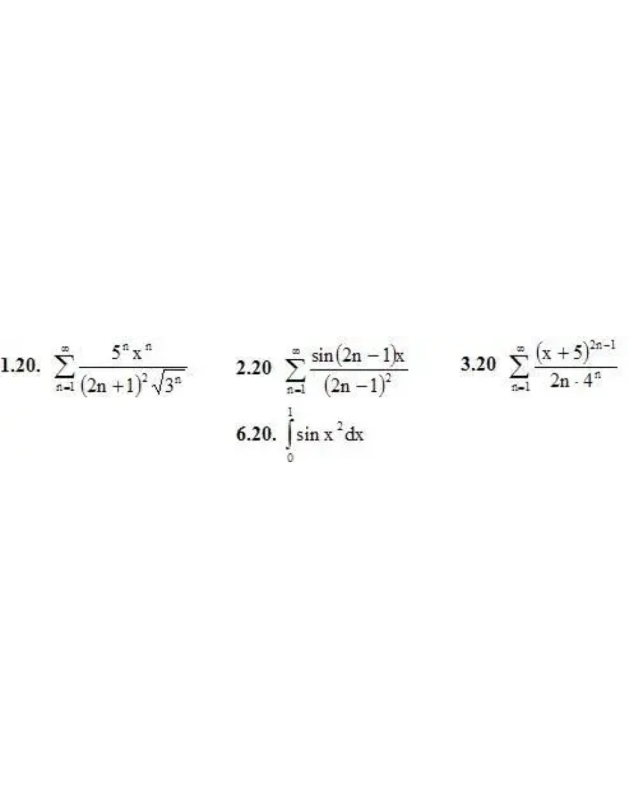
1. Найти область сходимости ряда. (1-3)

4. Разложить функцию f(x) в ряд Тейлора в окрестности указанной точки x0. Найти область сходимости полученного ряда к этой функции.
4.20. f(x) = 1/(2x+5), x0 = 3

5. Вычислить указанную величину приближенно с заданной степенью точности α, воспользовавшись разложением в степенной ряд соответствующим образом подобранной функции
5.20. arcsin1/3, α=0,001

6. Используя разложение подынтегральной функции в степенной ряд, вычислить указанный определенный интеграл с точностью до 0,001.

7. Найти разложение в степенной ряд по степеням x решения дифференциального уравнения (записать три первых, отличных от нуля, члена этого разложения)
7.20. y′ = 2x + y2 + ex, y(0) = 1

8. Методом последовательного дифференцирования найти первые k членов разложения в степенной ряд решения дифференциального уравнения при указанных начальных условиях.
8.20. y′ = 0,2x + y2, y(0) = 1, k = 3

Написать отзыв

Примечание: HTML разметка не поддерживается! Используйте обычный текст.
   Плохо           Хорошо

Решебник Рябушко. Решенный ИДЗ 12.2, Вариант 20

  • Продавец: Massimo86
  • Модель: 2546835
  • Наличие: Есть в наличии
  • 140р.

Рекомендуемые