• Решебник Рябушко. Решенный ИДЗ 12.2, Вариант 21
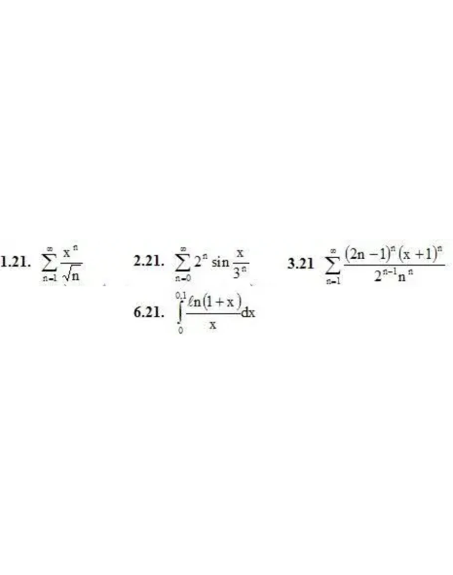
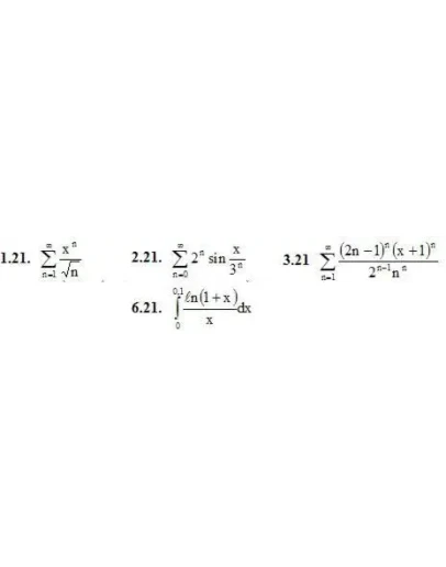
1. Найти область сходимости ряда. (1-3)

4. Разложить функцию f(x) в ряд Тейлора в окрестности указанной точки x0. Найти область сходимости полученного ряда к этой функции.
4.21. f(x) = 1/(x−3)2, x0 = 1

5. Вычислить указанную величину приближенно с заданной степенью точности α, воспользовавшись разложением в степенной ряд соответствующим образом подобранной функции
5.21. lg7, α=0,001

6. Используя разложение подынтегральной функции в степенной ряд, вычислить указанный определенный интеграл с точностью до 0,001.

7. Найти разложение в степенной ряд по степеням x решения дифференциального уравнения (записать три первых, отличных от нуля, члена этого разложения)
7.21. y′ = xsinx – y2, y(0) = 1

8. Методом последовательного дифференцирования найти первые k членов разложения в степенной ряд решения дифференциального уравнения при указанных начальных условиях.
8.21. y′′ = x2 + y2, y(−1) = 2, y′(−1) = 0,5, k = 4

Написать отзыв

Примечание: HTML разметка не поддерживается! Используйте обычный текст.
   Плохо           Хорошо

Решебник Рябушко. Решенный ИДЗ 12.2, Вариант 21

  • Продавец: Massimo86
  • Модель: 2546836
  • Наличие: Есть в наличии
  • 140р.

Рекомендуемые