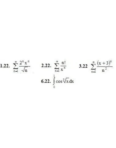
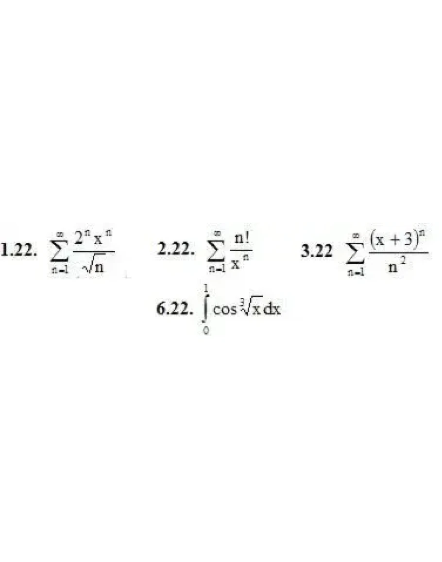
1. Найти область сходимости ряда. (1-3)
4. Разложить функцию f(x) в ряд Тейлора в окрестности указанной точки x0. Найти область сходимости полученного ряда к этой функции.
4.22. f(x) = sinπx/4, x0 = 2
5. Вычислить указанную величину приближенно с заданной степенью точности α, воспользовавшись разложением в степенной ряд соответствующим образом подобранной функции
5.22. √e, α=0,0001
6. Используя разложение подынтегральной функции в степенной ряд, вычислить указанный определенный интеграл с точностью до 0,001.
7. Найти разложение в степенной ряд по степеням x решения дифференциального уравнения (записать три первых, отличных от нуля, члена этого разложения)
7.22. y′ = 2x2 – xy, y(0) = 0
8. Методом последовательного дифференцирования найти первые k членов разложения в степенной ряд решения дифференциального уравнения при указанных начальных условиях.
8.22. y′ = x2 + xy + e−x, y(0) = 0, k = 3
4. Разложить функцию f(x) в ряд Тейлора в окрестности указанной точки x0. Найти область сходимости полученного ряда к этой функции.
4.22. f(x) = sinπx/4, x0 = 2
5. Вычислить указанную величину приближенно с заданной степенью точности α, воспользовавшись разложением в степенной ряд соответствующим образом подобранной функции
5.22. √e, α=0,0001
6. Используя разложение подынтегральной функции в степенной ряд, вычислить указанный определенный интеграл с точностью до 0,001.
7. Найти разложение в степенной ряд по степеням x решения дифференциального уравнения (записать три первых, отличных от нуля, члена этого разложения)
7.22. y′ = 2x2 – xy, y(0) = 0
8. Методом последовательного дифференцирования найти первые k членов разложения в степенной ряд решения дифференциального уравнения при указанных начальных условиях.
8.22. y′ = x2 + xy + e−x, y(0) = 0, k = 3




