• Решебник Рябушко. Решенный ИДЗ 12.2, Вариант 23
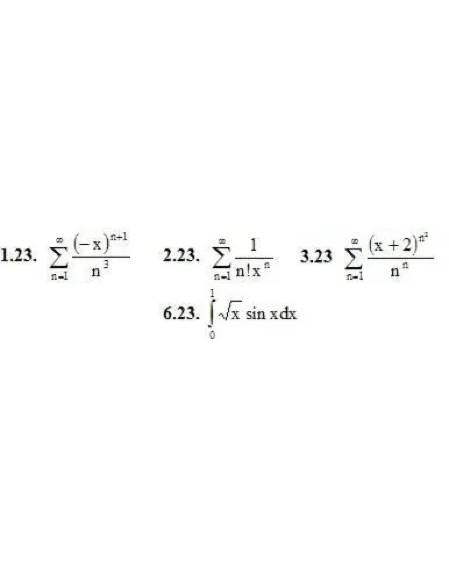
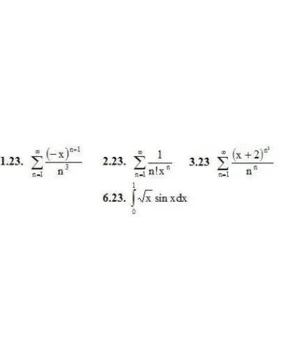
1. Найти область сходимости ряда. (1-3)

4. Разложить функцию f(x) в ряд Тейлора в окрестности указанной точки x0. Найти область сходимости полученного ряда к этой функции.
4.23 f(x) = ln(5x + 3), x0 = −2/5

5. Вычислить указанную величину приближенно с заданной степенью точности α, воспользовавшись разложением в степенной ряд соответствующим образом подобранной функции
5.23. cos 10 0, α=0,0001

6. Используя разложение подынтегральной функции в степенной ряд, вычислить указанный определенный интеграл с точностью до 0,001.

7. Найти разложение в степенной ряд по степеням x решения дифференциального уравнения (записать три первых, отличных от нуля, члена этого разложения)
7.23. y′ = x – 2y2, y(0) = 0,5

8. Методом последовательного дифференцирования найти первые k членов разложения в степенной ряд решения дифференциального уравнения при указанных начальных условиях.
8.23. y′ = (1− x2)/y + 1, y(0) = 1, k = 5

Написать отзыв

Примечание: HTML разметка не поддерживается! Используйте обычный текст.
   Плохо           Хорошо

Решебник Рябушко. Решенный ИДЗ 12.2, Вариант 23

  • Продавец: Massimo86
  • Модель: 2546838
  • Наличие: Есть в наличии
  • 140р.

Рекомендуемые