1. Разложить в ряд Фурье периодическую (с периодом ω=2π) функцию f(x) заданную на отрезке [-π; π]
2. Разложить в ряд Фурье функцию f(x), заданную в интервале (0; π) продолжив (доопределив) ее четным и нечетным образом. Построить графики для каждого продолжения.
2.24. f(x) = shx/5
3. Разложить в ряд Фурье в указанном интервале периодическую функцию f(x) с периодом w=2l
3.24. f(x) = 1 − |x|, −3 < x < 3, l = 3
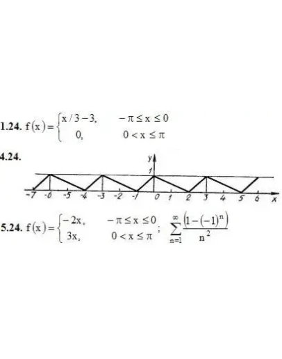
4. Разложить в ряд Фурье функцию, заданную графически.
5. Воспользовавшись разложением функции f(x) в ряд Фурье в указанном интервале, найти сумму данного числового ряда.
2. Разложить в ряд Фурье функцию f(x), заданную в интервале (0; π) продолжив (доопределив) ее четным и нечетным образом. Построить графики для каждого продолжения.
2.24. f(x) = shx/5
3. Разложить в ряд Фурье в указанном интервале периодическую функцию f(x) с периодом w=2l
3.24. f(x) = 1 − |x|, −3 < x < 3, l = 3
4. Разложить в ряд Фурье функцию, заданную графически.
5. Воспользовавшись разложением функции f(x) в ряд Фурье в указанном интервале, найти сумму данного числового ряда.




