1. Представить двойной интеграл в виде повторного интеграла с внешним интегрированием по х и внешним интегрированием по y, если область D задана указанными линиями.
1.10. D: x ≥ 0, y ≥ x, y = √9 − x2
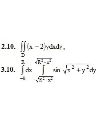
2. Вычислить двойной интеграл по области D, ограниченной указанными линиями.
D: y = x, y = 1/2x, x = 2
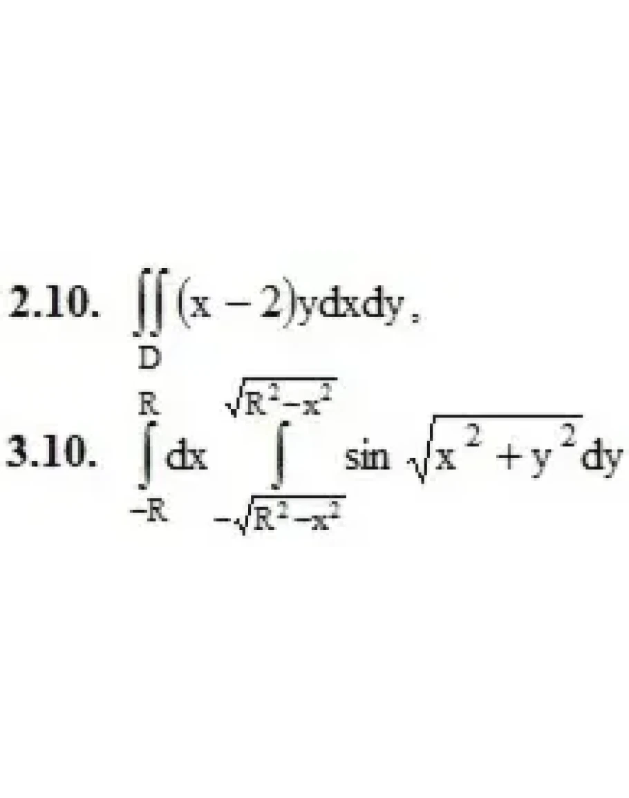
3. Вычислить двойной интеграл, используя полярные координаты.
4. Вычислить площадь плоской области D, ограниченной заданными линями.
4.10. D: y = x2 + 2, x ≥ 0, x = 2, y = x
5. С помощью двойных интегралов вычислить в полярных координатах площадь плоской фигуры, ограниченной указанными линиями.
5.10. (x2 + y2)2 = a2 (5x2 + 3y2)
6. Вычислить объем тела, ограниченного заданными поверхностями.
6.10. z = 4 – x2, x2 + y2 = 4, x ≥ 0, y ≥ 0, z ≥ 0
1.10. D: x ≥ 0, y ≥ x, y = √9 − x2
2. Вычислить двойной интеграл по области D, ограниченной указанными линиями.
D: y = x, y = 1/2x, x = 2
3. Вычислить двойной интеграл, используя полярные координаты.
4. Вычислить площадь плоской области D, ограниченной заданными линями.
4.10. D: y = x2 + 2, x ≥ 0, x = 2, y = x
5. С помощью двойных интегралов вычислить в полярных координатах площадь плоской фигуры, ограниченной указанными линиями.
5.10. (x2 + y2)2 = a2 (5x2 + 3y2)
6. Вычислить объем тела, ограниченного заданными поверхностями.
6.10. z = 4 – x2, x2 + y2 = 4, x ≥ 0, y ≥ 0, z ≥ 0




