1. Представить двойной интеграл в виде повторного интеграла с внешним интегрированием по х и внешним интегрированием по y, если область D задана указанными линиями.
1.11. D: y2 = 2 – x, y = x
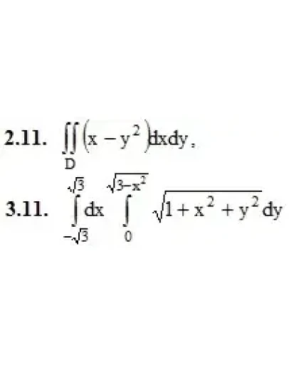
2. Вычислить двойной интеграл по области D, ограниченной указанными линиями.
D: y = x2, y = 1
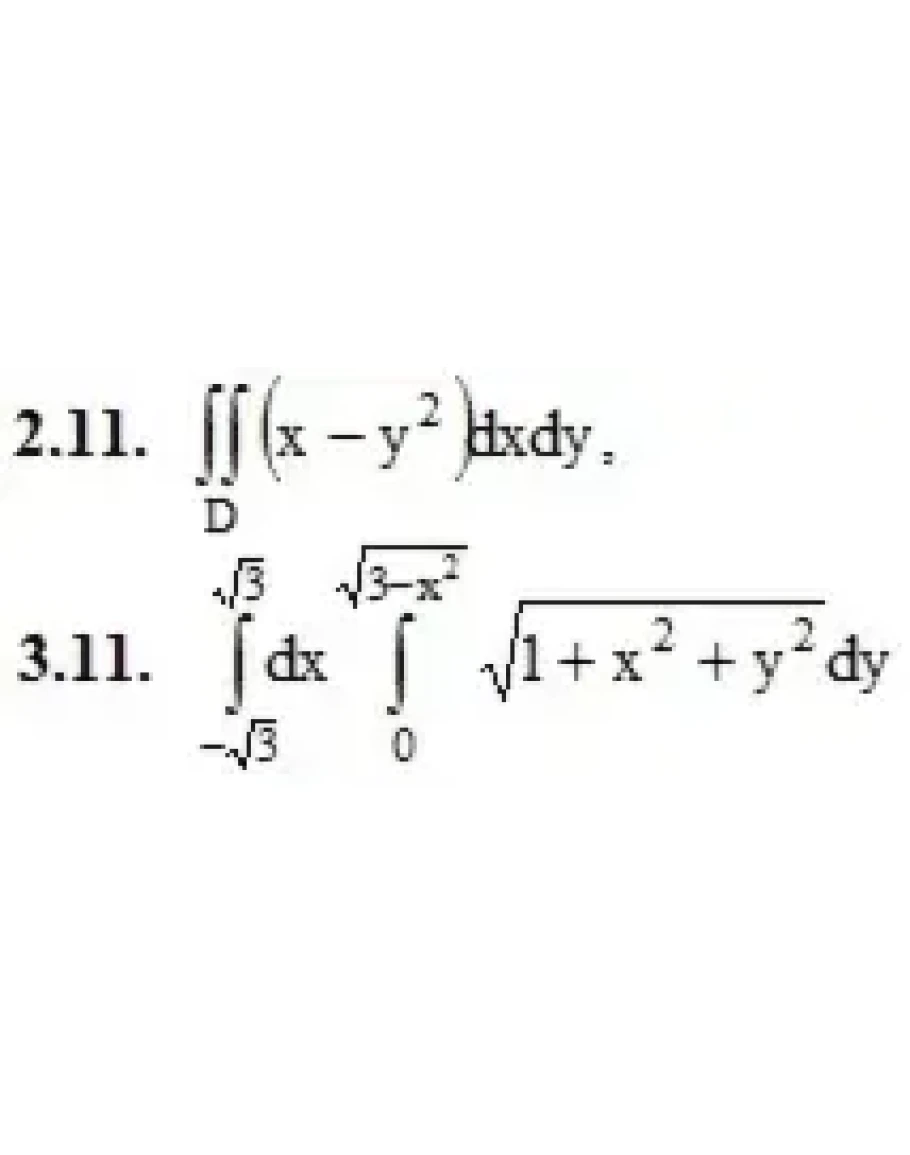
3. Вычислить двойной интеграл, используя полярные координаты.
4. Вычислить площадь плоской области D, ограниченной заданными линями.
4.11. D: y = 4x2, 9y = x2, y ≤ 2
5. С помощью двойных интегралов вычислить в полярных координатах площадь плоской фигуры, ограниченной указанными линиями.
5.11. (x2 + y2)2 = a2 (7x2 + 5y2)
6. Вычислить объем тела, ограниченного заданными поверхностями.
6.11. 2x + 3y – 12 = 0, 2z = y2, x ≥ 0, y ≥ 0, z ≥ 0
1.11. D: y2 = 2 – x, y = x
2. Вычислить двойной интеграл по области D, ограниченной указанными линиями.
D: y = x2, y = 1
3. Вычислить двойной интеграл, используя полярные координаты.
4. Вычислить площадь плоской области D, ограниченной заданными линями.
4.11. D: y = 4x2, 9y = x2, y ≤ 2
5. С помощью двойных интегралов вычислить в полярных координатах площадь плоской фигуры, ограниченной указанными линиями.
5.11. (x2 + y2)2 = a2 (7x2 + 5y2)
6. Вычислить объем тела, ограниченного заданными поверхностями.
6.11. 2x + 3y – 12 = 0, 2z = y2, x ≥ 0, y ≥ 0, z ≥ 0




