• Решебник Рябушко. Решенный ИДЗ 13.1, Вариант 12
1. Представить двойной интеграл в виде повторного интеграла с внешним интегрированием по х и внешним интегрированием по y, если область D задана указанными линиями.

1.12. D: x = √2 − y2, x = y2, y ≥ 0

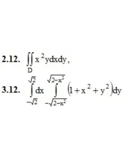
2. Вычислить двойной интеграл по области D, ограниченной указанными линиями.

D: y = 2x3, y = 0, x = 1

3. Вычислить двойной интеграл, используя полярные координаты.

4. Вычислить площадь плоской области D, ограниченной заданными линями.

4.12. D: y = x2, y = –x

5. С помощью двойных интегралов вычислить в полярных координатах площадь плоской фигуры, ограниченной указанными линиями.

5.12. (x2 + y2)2 = 2a2xy

6. Вычислить объем тела, ограниченного заданными поверхностями.

6.12. z = 10 + x2 + 2y2, y = x, x = 1, y ≥ 0, z ≥ 0

Написать отзыв

Примечание: HTML разметка не поддерживается! Используйте обычный текст.
   Плохо           Хорошо

Решебник Рябушко. Решенный ИДЗ 13.1, Вариант 12

  • Продавец: Massimo86
  • Модель: 2546916
  • Наличие: Есть в наличии
  • 130р.

Рекомендуемые