1. Представить двойной интеграл в виде повторного интеграла с внешним интегрированием по х и внешним интегрированием по y, если область D задана указанными линиями.
1.13. D: y ≥ 0, x + 2y – 12 = 0, y = lgx.
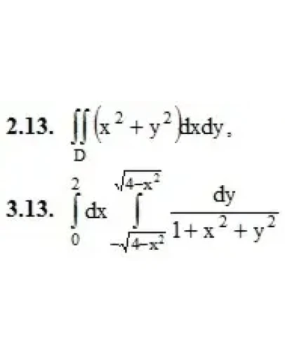
2. Вычислить двойной интеграл по области D, ограниченной указанными линиями.
D: x = y2, x = 1
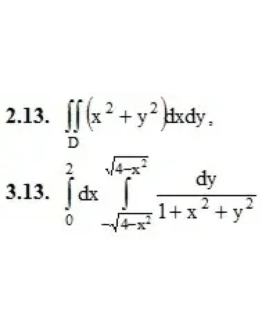
3. Вычислить двойной интеграл, используя полярные координаты.
4. Вычислить площадь плоской области D, ограниченной заданными линями.
4.13. D: x = y2, x = 3/4y2 + 1
5. С помощью двойных интегралов вычислить в полярных координатах площадь плоской фигуры, ограниченной указанными линиями.
5.13. (x2 + y2)3 = 4x2y2
6. Вычислить объем тела, ограниченного заданными поверхностями.
6.13. z = x2, x + y = 6, y = 2x, x ≥ 0, y ≥ 0, z ≥ 0
1.13. D: y ≥ 0, x + 2y – 12 = 0, y = lgx.
2. Вычислить двойной интеграл по области D, ограниченной указанными линиями.
D: x = y2, x = 1
3. Вычислить двойной интеграл, используя полярные координаты.
4. Вычислить площадь плоской области D, ограниченной заданными линями.
4.13. D: x = y2, x = 3/4y2 + 1
5. С помощью двойных интегралов вычислить в полярных координатах площадь плоской фигуры, ограниченной указанными линиями.
5.13. (x2 + y2)3 = 4x2y2
6. Вычислить объем тела, ограниченного заданными поверхностями.
6.13. z = x2, x + y = 6, y = 2x, x ≥ 0, y ≥ 0, z ≥ 0




