• Решебник Рябушко. Решенный ИДЗ 13.1, Вариант 15
1. Представить двойной интеграл в виде повторного интеграла с внешним интегрированием по х и внешним интегрированием по y, если область D задана указанными линиями.

1.15. D: y = 0, y ≥ x, y = –√2 − x2.

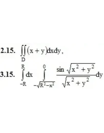
2. Вычислить двойной интеграл по области D, ограниченной указанными линиями.

D: y = x3, y = 8, y = 0, x = 3

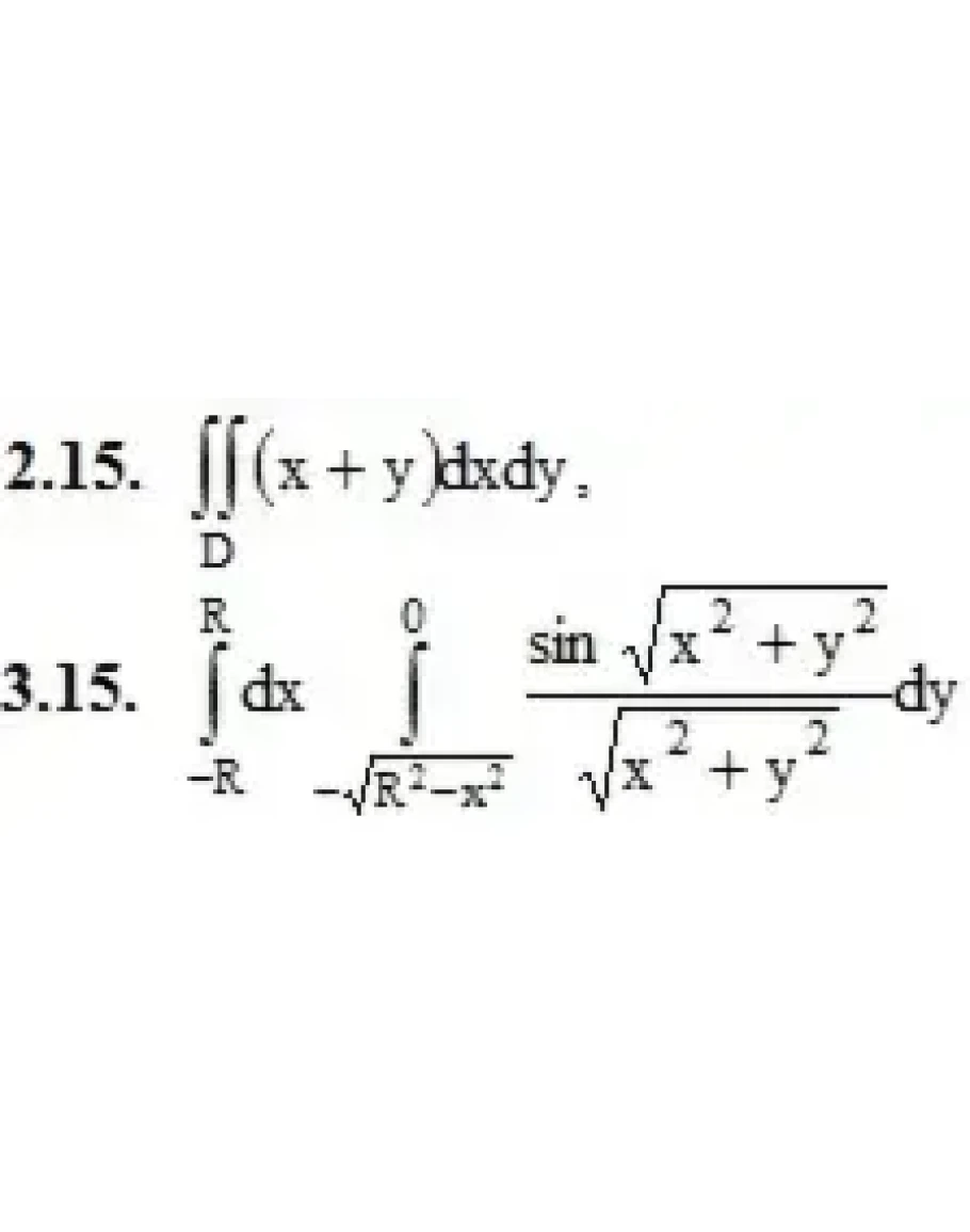
3. Вычислить двойной интеграл, используя полярные координаты.

4. Вычислить площадь плоской области D, ограниченной заданными линями.

4.15. D: y = x2 + 4x, y = x + 4

5. С помощью двойных интегралов вычислить в полярных координатах площадь плоской фигуры, ограниченной указанными линиями.

5.15. (x2 + y2)3 = a4x2

6. Вычислить объем тела, ограниченного заданными поверхностями.

6.15. 3y = √x, y ≤ x, x + y + z = 10, y = 1, z = 0

Написать отзыв

Примечание: HTML разметка не поддерживается! Используйте обычный текст.
   Плохо           Хорошо

Решебник Рябушко. Решенный ИДЗ 13.1, Вариант 15

  • Продавец: Massimo86
  • Модель: 2546919
  • Наличие: Есть в наличии
  • 130р.

Рекомендуемые