1. Представить двойной интеграл в виде повторного интеграла с внешним интегрированием по х и внешним интегрированием по y, если область D задана указанными линиями.
1.16. D: y ≥ 0, x = √y, y = √8 − x2.
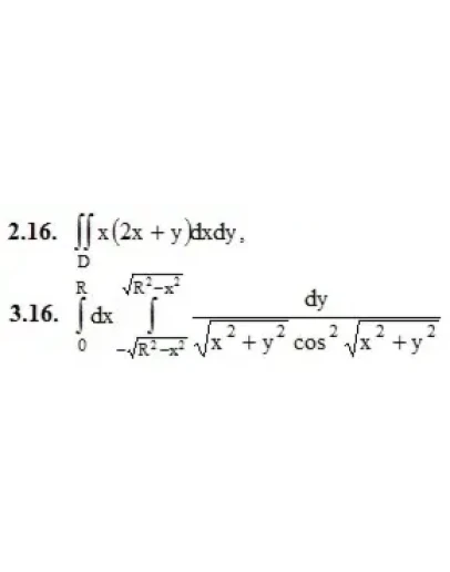
2. Вычислить двойной интеграл по области D, ограниченной указанными линиями.
D: y = 1 – x2, y ≥ 0
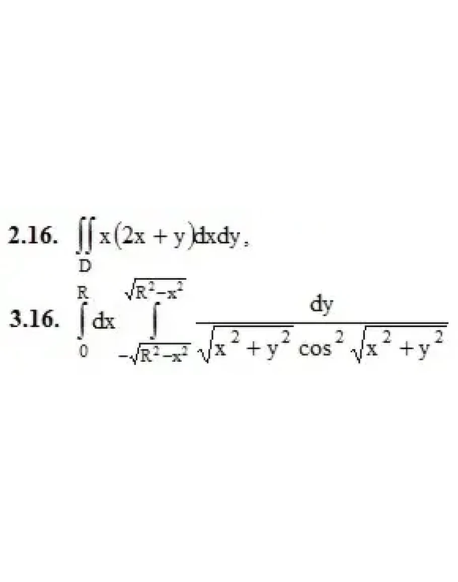
3. Вычислить двойной интеграл, используя полярные координаты.
4. Вычислить площадь плоской области D, ограниченной заданными линями.
4.16. D: 2y = √x, x + y = 5, x ≥ 0
5. С помощью двойных интегралов вычислить в полярных координатах площадь плоской фигуры, ограниченной указанными линиями.
5.16. ρ = acos2φ
6. Вычислить объем тела, ограниченного заданными поверхностями.
6.16. y2 = 1 – x, x + y + z = 1, x = 0, z = 0
1.16. D: y ≥ 0, x = √y, y = √8 − x2.
2. Вычислить двойной интеграл по области D, ограниченной указанными линиями.
D: y = 1 – x2, y ≥ 0
3. Вычислить двойной интеграл, используя полярные координаты.
4. Вычислить площадь плоской области D, ограниченной заданными линями.
4.16. D: 2y = √x, x + y = 5, x ≥ 0
5. С помощью двойных интегралов вычислить в полярных координатах площадь плоской фигуры, ограниченной указанными линиями.
5.16. ρ = acos2φ
6. Вычислить объем тела, ограниченного заданными поверхностями.
6.16. y2 = 1 – x, x + y + z = 1, x = 0, z = 0




