• Решебник Рябушко. Решенный ИДЗ 13.1, Вариант 1
1. Представить двойной интеграл в виде повторного интеграла с внешним интегрированием по х и внешним интегрированием по y, если область D задана указанными линиями.

1.1. D: y = √4 − x2, y = √3x, x ≥ 0

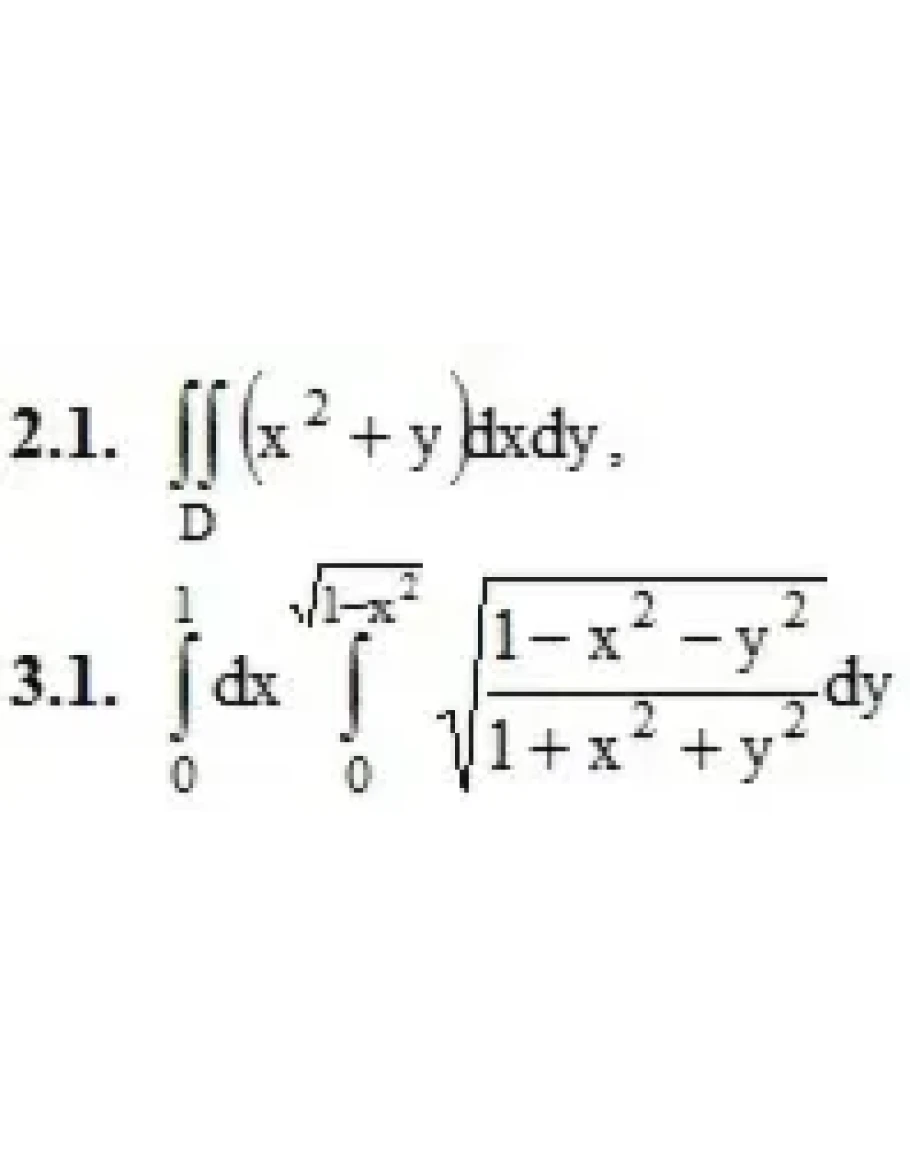
2. Вычислить двойной интеграл по области D, ограниченной указанными линиями.

D: y = x2, x = y2

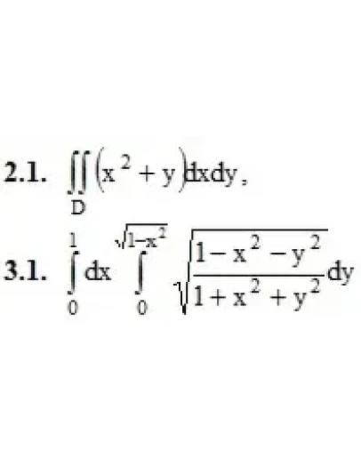
3. Вычислить двойной интеграл, используя полярные координаты.

4. Вычислить площадь плоской области D, ограниченной заданными линями.

4.1. D: y2 = 4x, x + y = 3, y ≥ 0

5. С помощью двойных интегралов вычислить в полярных координатах площадь плоской фигуры, ограниченной указанными линиями.

5.1. (x2 + y2)2 = a2 (4x2 + y2)

6. Вычислить объем тела, ограниченного заданными поверхностями.

6.1. z = x2 + y2, x + y = 1, x ≥ 0, y ≥ 0, z ≥ 0

Написать отзыв

Примечание: HTML разметка не поддерживается! Используйте обычный текст.
   Плохо           Хорошо

Решебник Рябушко. Решенный ИДЗ 13.1, Вариант 1

  • Продавец: Massimo86
  • Модель: 2546904
  • Наличие: Есть в наличии
  • 130р.

Рекомендуемые