• Решебник Рябушко. Решенный ИДЗ 13.1, Вариант 2
1. Представить двойной интеграл в виде повторного интеграла с внешним интегрированием по х и внешним интегрированием по y, если область D задана указанными линиями.

1.2. D: x2 = 2y, 5x – 2y – 6 = 0

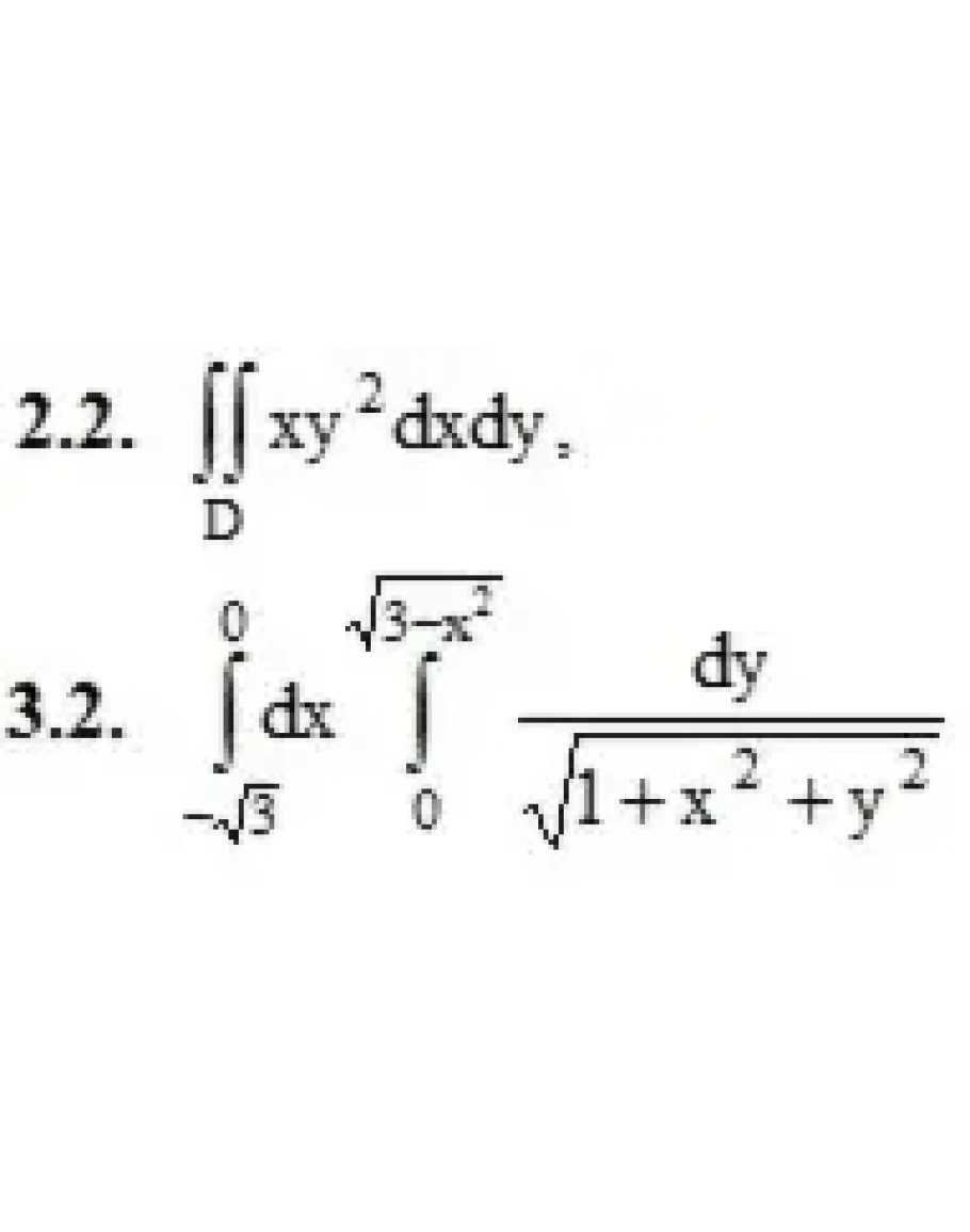
2. Вычислить двойной интеграл по области D, ограниченной указанными линиями.

D: y = x2, y = 2x

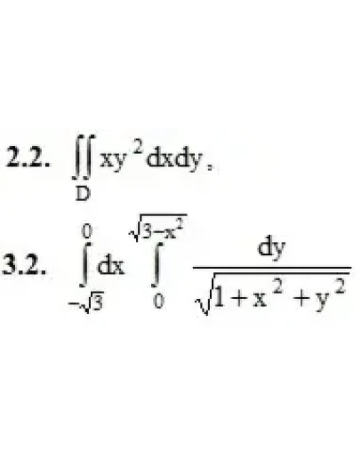
3. Вычислить двойной интеграл, используя полярные координаты.

4. Вычислить площадь плоской области D, ограниченной заданными линями.

4.2. D: y = 6x2, x + y = 2, x ≥ 0

5. С помощью двойных интегралов вычислить в полярных координатах площадь плоской фигуры, ограниченной указанными линиями.

5.2. (x2 + y2)3 = a2x2y2

6. Вычислить объем тела, ограниченного заданными поверхностями.

6.2. z = 2 – (x2 + y2), x + 2y = 1, x ≥ 0, y ≥ 0, z ≥ 0

Написать отзыв

Примечание: HTML разметка не поддерживается! Используйте обычный текст.
   Плохо           Хорошо

Решебник Рябушко. Решенный ИДЗ 13.1, Вариант 2

  • Продавец: Massimo86
  • Модель: 2546906
  • Наличие: Есть в наличии
  • 130р.

Рекомендуемые