1. Представить двойной интеграл в виде повторного интеграла с внешним интегрированием по х и внешним интегрированием по y, если область D задана указанными линиями.
1.3. D: x = √8 − y2, y ≥ 0, y = x
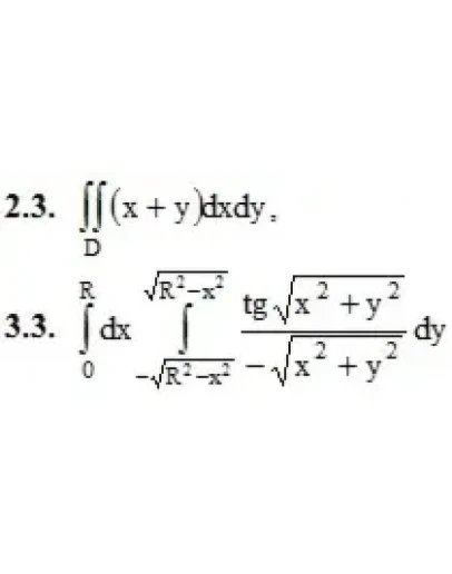
2. Вычислить двойной интеграл по области D, ограниченной указанными линиями.
D: y2 = x, y = x
3. Вычислить двойной интеграл, используя полярные координаты.
4. Вычислить площадь плоской области D, ограниченной заданными линями.
4.3. D: y2 = x + 2, x = 2
5. С помощью двойных интегралов вычислить в полярных координатах площадь плоской фигуры, ограниченной указанными линиями.
5.3. (x2 + y2)3 = a2x2 (4x2 + 3y2)
6. Вычислить объем тела, ограниченного заданными поверхностями.
6.3. z = x2, x – 2y + 2 = 0, x + y – 7 = 0, z ≥ 0
1.3. D: x = √8 − y2, y ≥ 0, y = x
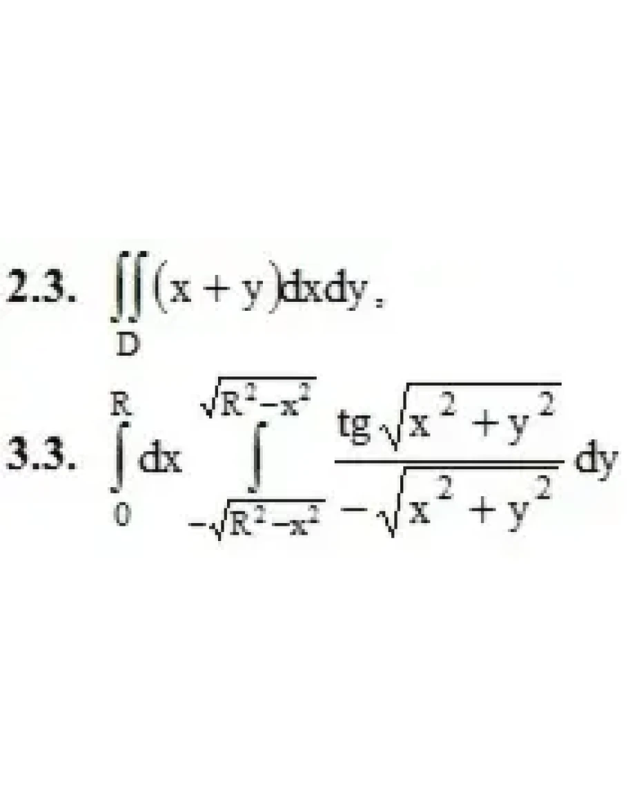
2. Вычислить двойной интеграл по области D, ограниченной указанными линиями.
D: y2 = x, y = x
3. Вычислить двойной интеграл, используя полярные координаты.
4. Вычислить площадь плоской области D, ограниченной заданными линями.
4.3. D: y2 = x + 2, x = 2
5. С помощью двойных интегралов вычислить в полярных координатах площадь плоской фигуры, ограниченной указанными линиями.
5.3. (x2 + y2)3 = a2x2 (4x2 + 3y2)
6. Вычислить объем тела, ограниченного заданными поверхностями.
6.3. z = x2, x – 2y + 2 = 0, x + y – 7 = 0, z ≥ 0




