• Решебник Рябушко. Решенный ИДЗ 13.1, Вариант 5
1. Представить двойной интеграл в виде повторного интеграла с внешним интегрированием по х и внешним интегрированием по y, если область D задана указанными линиями.

1.5. D: x2 = 2 – y, x + y = 0

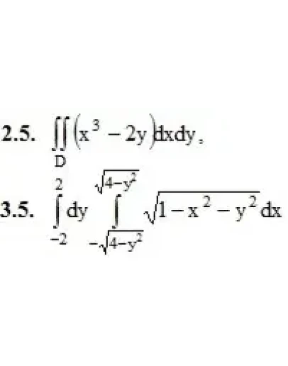
2. Вычислить двойной интеграл по области D, ограниченной указанными линиями.

D: y = x2 – 1, x ≥ 0, y ≤ 0

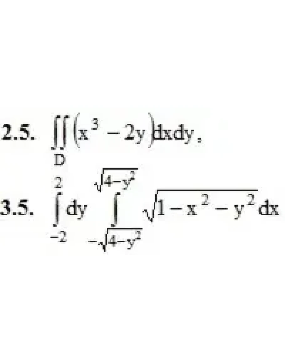
3. Вычислить двойной интеграл, используя полярные координаты.

4. Вычислить площадь плоской области D, ограниченной заданными линями.

4.5. D: y = 8/(x2 + 4), x2 = 4y.

5. С помощью двойных интегралов вычислить в полярных координатах площадь плоской фигуры, ограниченной указанными линиями.

5.5. x4 – y4 = (x2 + y2)3

6. Вычислить объем тела, ограниченного заданными поверхностями.

6.5. z = 2x2 + y2, y ≤ x, y = 3x, x = 2, z ≥ 0

Написать отзыв

Примечание: HTML разметка не поддерживается! Используйте обычный текст.
   Плохо           Хорошо

Решебник Рябушко. Решенный ИДЗ 13.1, Вариант 5

  • Продавец: Massimo86
  • Модель: 2546909
  • Наличие: Есть в наличии
  • 130р.

Рекомендуемые