1. Provide a double integral as an iterated integral with the outer integration over x and external integration with respect to y, if D is given the above lines.
1.8. D: x ≥ 0, y ≥ 1, y ≤ 3, y = x
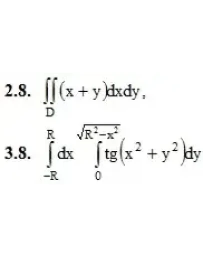
2. Calculate the double integral over the region D, limited to lines.
D: y = x2 - 1, y = -x2 + 1
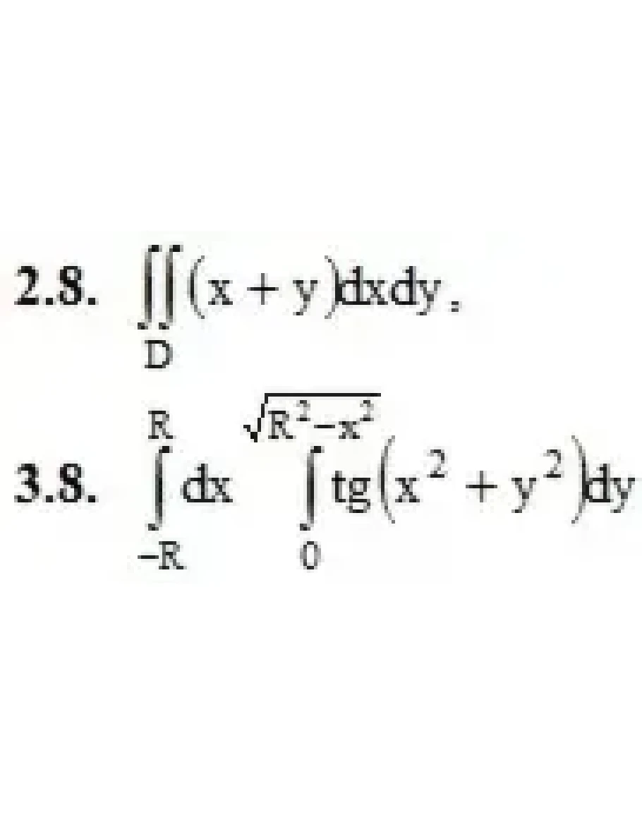
3. Calculate the double integral using polar coordinates.
4. Calculate the area of a plane region D, bounded set tench.
4.8. D: y = cosx, y ≤ x + 1, y ≥ 0
5. Use double integrals in polar coordinates to calculate the flat area of the figure bounded by the lines indicated.
5.8. ρ = a (1 - cosφ)
6. Calculate the volume of the body bounded by a given surface.
6.8. y = 1 - x2, x + y + z = 3, y ≥ 0, z ≥ 0
1.8. D: x ≥ 0, y ≥ 1, y ≤ 3, y = x
2. Calculate the double integral over the region D, limited to lines.
D: y = x2 - 1, y = -x2 + 1
3. Calculate the double integral using polar coordinates.
4. Calculate the area of a plane region D, bounded set tench.
4.8. D: y = cosx, y ≤ x + 1, y ≥ 0
5. Use double integrals in polar coordinates to calculate the flat area of the figure bounded by the lines indicated.
5.8. ρ = a (1 - cosφ)
6. Calculate the volume of the body bounded by a given surface.
6.8. y = 1 - x2, x + y + z = 3, y ≥ 0, z ≥ 0




