• Решебник Рябушко. Решенный ИДЗ 14.1, Вариант 15
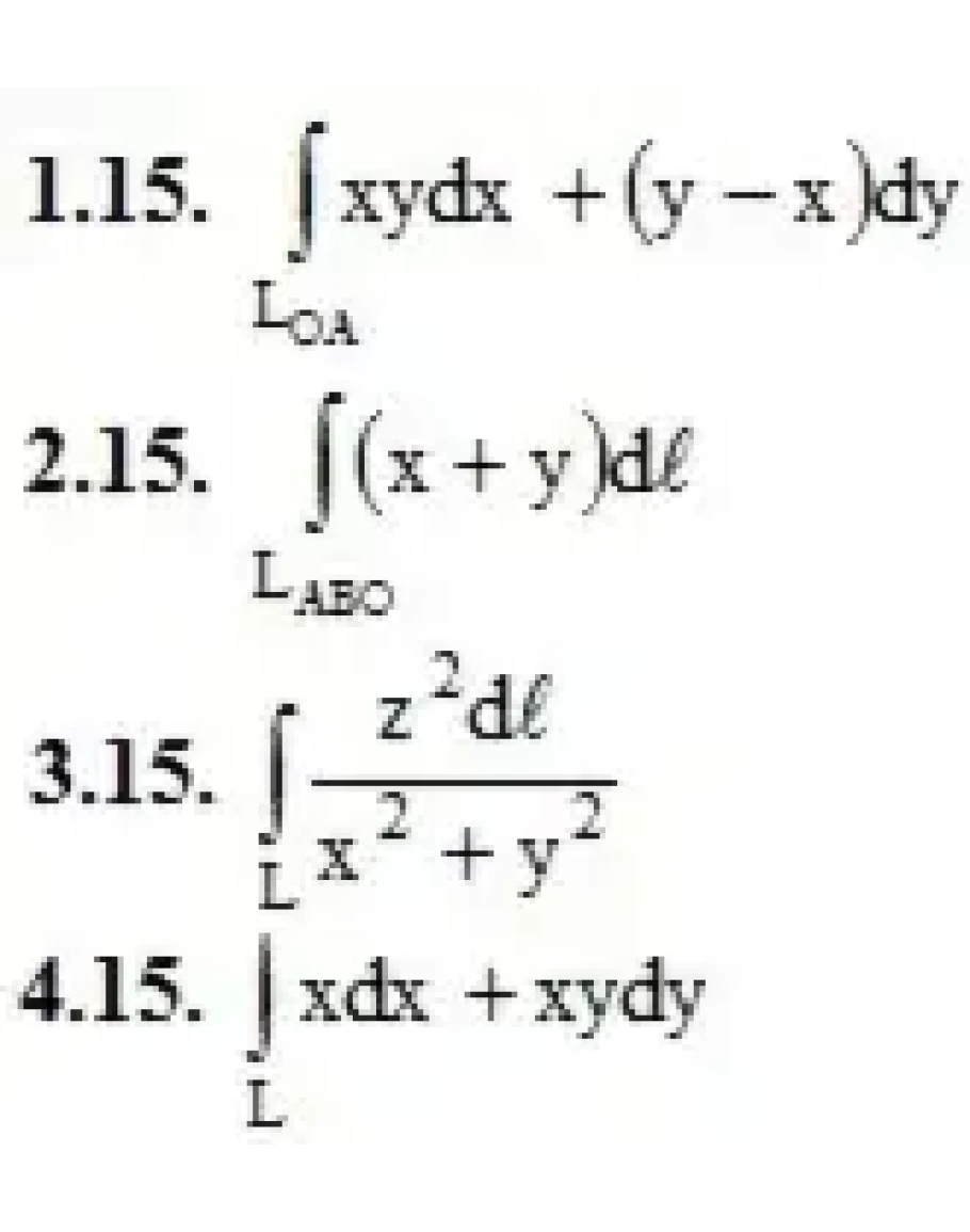
1. Вычислить данные криволинейные интегралы (1-4)

, где LOA – дуга параболы y2 = x от точки O(0, 0) до точки A(1, 1).

, где LABO – контур треугольника с вершинами А(1, 0), B(0, 1), O(0, 0).

, где L – первый виток винтовой линии x = acost, y = asint, z = at.

, где L – дуга верхней половины окружности x2 + y2 = 2x при положительном направлении обхода контура.

Написать отзыв

Примечание: HTML разметка не поддерживается! Используйте обычный текст.
   Плохо           Хорошо

Решебник Рябушко. Решенный ИДЗ 14.1, Вариант 15

  • Продавец: Massimo86
  • Модель: 2547315
  • Наличие: Есть в наличии
  • 100р.

Рекомендуемые