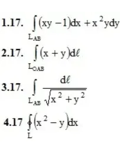
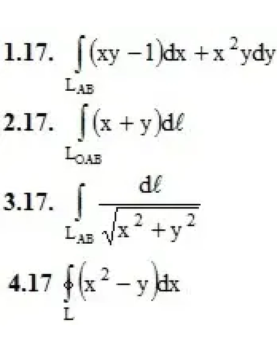
1. Вычислить данные криволинейные интегралы (1-4)
, где LAB – дуга параболы y2 = 4 – 4x от точки А(1, 0) до точки B(0, 2).
, где LOAB – контур треугольника с вершинами O(0, 0), A(–1, 0), B(0, 1).
, где LAB – отрезок прямой, соединяющий точки A(0, –2) и B(4, 0).
, где L – контур прямоугольника, образованного прямыми x = 0, y = 0, x = 1, y = 2 при положительном направлении обхода контура.
, где LAB – дуга параболы y2 = 4 – 4x от точки А(1, 0) до точки B(0, 2).
, где LOAB – контур треугольника с вершинами O(0, 0), A(–1, 0), B(0, 1).
, где LAB – отрезок прямой, соединяющий точки A(0, –2) и B(4, 0).
, где L – контур прямоугольника, образованного прямыми x = 0, y = 0, x = 1, y = 2 при положительном направлении обхода контура.




