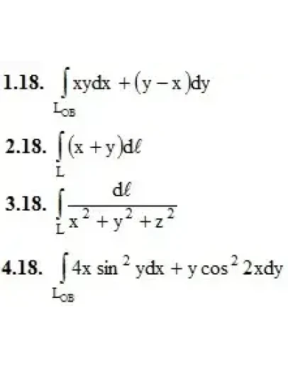
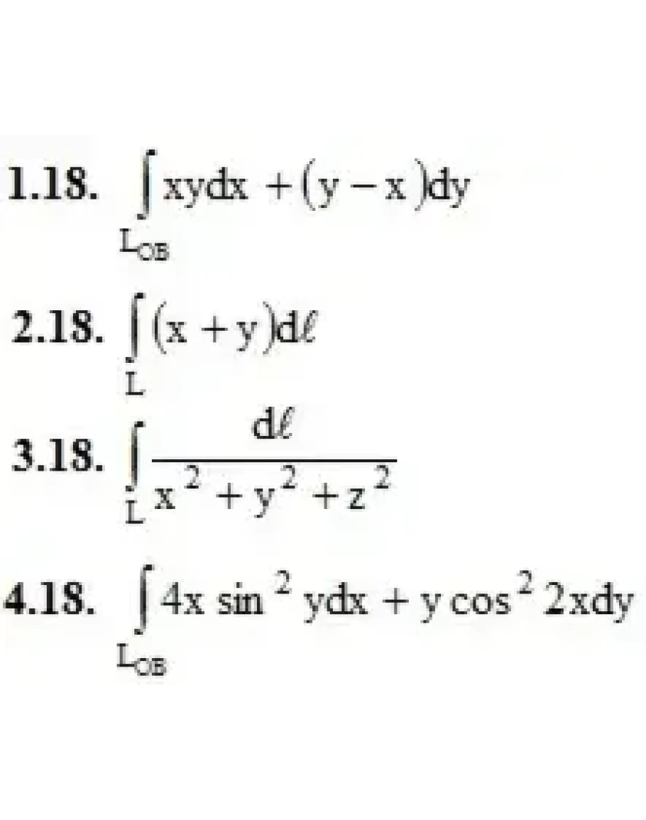
1. Вычислить данные криволинейные интегралы (1-4)
, где LOB – дуга параболы y = x2 от точки O(0, 0) до точки B(1, 1).
, где L – дуга лемнискаты Бернулли ρ2 = cos2φ, –π/4 ≤ φ ≤ π/4
, где L – первый виток винтовой линии x = 5cost, y = 5sint, z = t.
, где LOB – отрезок прямой, соединяющий точки O(0, 0) и B(3, 6).
, где LOB – дуга параболы y = x2 от точки O(0, 0) до точки B(1, 1).
, где L – дуга лемнискаты Бернулли ρ2 = cos2φ, –π/4 ≤ φ ≤ π/4
, где L – первый виток винтовой линии x = 5cost, y = 5sint, z = t.
, где LOB – отрезок прямой, соединяющий точки O(0, 0) и B(3, 6).




