• Решебник Рябушко. Решенный ИДЗ 14.1, Вариант 19
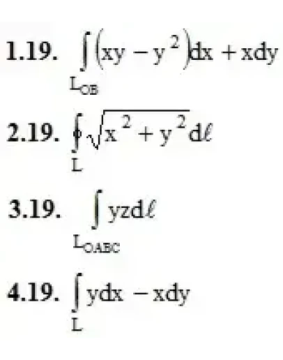
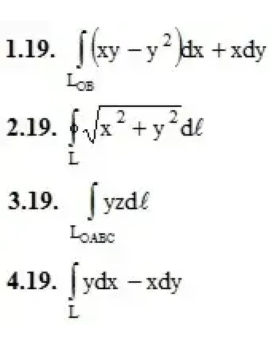
1. Вычислить данные криволинейные интегралы (1-4)

, где LOB – дуга параболы y = x2 от точки O(0, 0) до точки B(1, 1).

, где L – окружность x2 + y2 = 2y.

, где LOABC – контур прямоугольника с вершинами в точках O(0, 0, 0), A(0, 4, 0), B(0, 4, 2), C(0, 0, 2).

, где L – дуга эллипса x = 6cost, y = 4sint при положительном направлении обхода контура.

Написать отзыв

Примечание: HTML разметка не поддерживается! Используйте обычный текст.
   Плохо           Хорошо

Решебник Рябушко. Решенный ИДЗ 14.1, Вариант 19

  • Продавец: Massimo86
  • Модель: 2547320
  • Наличие: Есть в наличии
  • 100р.

Рекомендуемые