• Решебник Рябушко. Решенный ИДЗ 14.1, Вариант 21
1. Вычислить данные криволинейные интегралы (1-4)

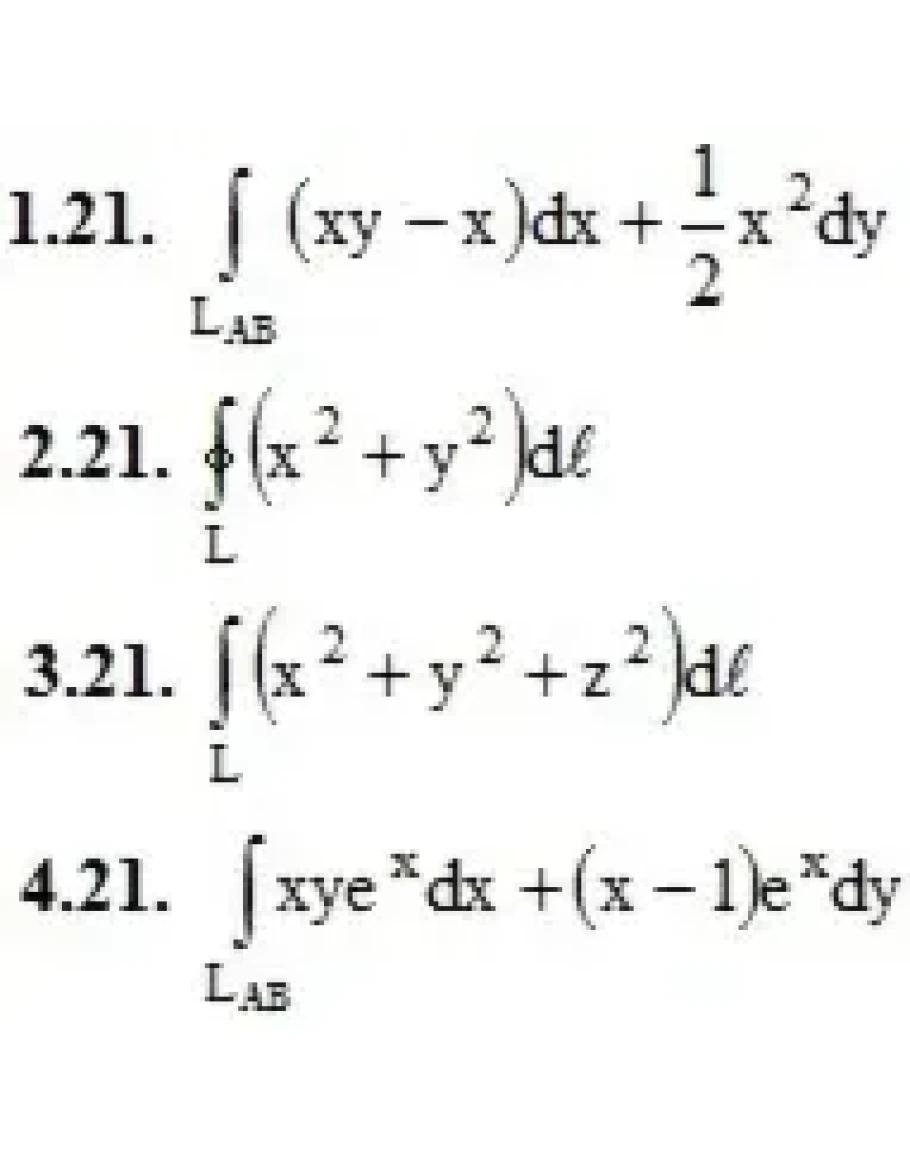
, где LAB – дуга параболы y2 = 4x от точки A(0, 0) до точки B(1, 2).

, где L – окружность x2 + y2 = 4x.

, где L – первый виток винтовой линии x = 4cost, y = 4sint, z = 3t.

, где LAB – любая линия, соединяющая точки А(0, 2) и B(1, 2).

Написать отзыв

Примечание: HTML разметка не поддерживается! Используйте обычный текст.
   Плохо           Хорошо

Решебник Рябушко. Решенный ИДЗ 14.1, Вариант 21

  • Продавец: Massimo86
  • Модель: 2547322
  • Наличие: Есть в наличии
  • 100р.

Рекомендуемые