• Решебник Рябушко. Решенный ИДЗ 14.1, Вариант 23
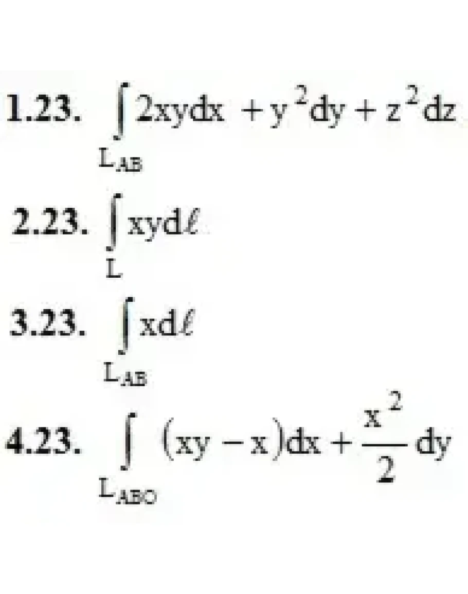
1. Вычислить данные криволинейные интегралы (1-4)

, где LAB – дуга одного витка винтовой линии x = cost, y = sint, z = 2t; A(1, 0, 0); B(1, 0, 4π).

, где L – контур квадрата со сторонами x = ±1, y = ±1.

, где LAB – дуга параболы y = x2 от точки А(2, 4) до точки B(1, 1).

, где LABO – ломаная ABO (O(0, 0); A(1, 2); B(1/2, 3)) при положительном направлении обхода контура.

Написать отзыв

Примечание: HTML разметка не поддерживается! Используйте обычный текст.
   Плохо           Хорошо

Решебник Рябушко. Решенный ИДЗ 14.1, Вариант 23

  • Продавец: Massimo86
  • Модель: 2547324
  • Наличие: Есть в наличии
  • 100р.

Рекомендуемые